1.2. Экологические факторы и их действие. Критические области
Экологический фактор — это состояние среды, характеризуемое параметром (свойством) и способное оказывать прямое или косвенное влияние на живые организмы, хотя бы на протяжении одной из фаз их индивидуального развития. К факторам неживой природы (абиотическим) относятся: свет, температура, влажность, давление, скорость потоков, возникающих в воздушной среде; механический состав, влажность, воздухопроницаемость и плотность почвы; рельеф, высота над уровнем моря; газовый состав воздуха, солевой состав воды, концентрация, кислотность и состав почвенных растворов. К факторам живой природы (биотическим) относятся: растительные и животные организмы, включая человека, вирусы, бактерии, грибы, риккетсии (неподвижные микроорганизмы) и другие простейшие микроорганизмы.
Любому живому организму необходимы не вообще температура, влажность, минеральные и органические вещества и прочее, а их определенный режим, т. е. существуют верхние и нижние границы допустимых изменений амплитуды этих факторов, представляющие область допустимых состояний ?доп, вне которой, т. е. в критической области ?кр, жизнь данного организма невозможна. Чем шире допустимые пределы какого-либо фактора, тем выше устойчивость, т. е. толерантность данного организма. Американский ученый В. Шелфорд показал, что факторы, значения которых либо превосходят, либо меньше оптимальных для организма, называются лимитирующими, а соответствующее соотношение получило название закона «лимитирующего фактора» или «закона толерантности». Этот закон частично учитывается в мероприятиях по охране окружающей среды от загрязнения. Превышения нормы вредных веществ в воздухе, воде, почве представляют серьезную угрозу для живых организмов вообще и для здоровья людей в частности.
Динамичность экологических факторов во времени и пространстве, которая вырабатывается в процессе эволюции и естественного отбора и закрепляются на генетическом уровне, зависит от астрономических, климатических и геологических процессов, выполняющих управляющую роль по отношению к живым организмам и к областям ?доп и ?кр.
Рассмотрим наиболее важные виды абиотических факторов.
Освещенность земной поверхности играет важную роль для всего живого. Организмы физиологически адаптированы к смене дня и ночи, к соотношению темного и светлого периода суток, обусловленного вращением Земли вокруг своей оси. Практически у всех живых организмов существуют суточные ритмы активности, связанные со сменой дня и ночи. Поэтому очевидно, что предлагаемые некоторыми учеными искусственные космические устройства для «экономного» освещения поверхности планеты требуют предварительной и тщательной экологической экспертизы.
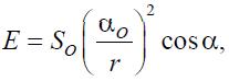
Освещенность, т. е. световая мощность E на единицу площади, обратно пропорциональна квадрату расстояния r до источника света, и, кроме того, пропорциональна косинусу угла ? между направлением на источник света и нормалью к площадке:

здесь SО = 1,36 кВт/м2 – солнечная постоянная (1 Вт/м2 = 679,6 лк); ?О = const.
Расстояние до Солнца r в течение года меняется не очень значительно: при эксцентриситете 0,0167 перепад расстояний составляет 3,3 %. Это означает, что различие в освещенности Земли в целом между ее положениями в перигелии и афелии составляет почти 7 %. Это уже заметная величина, и ее необходимо учитывать при вычислении суммарной энергии, получаемой на различных широтах за день.
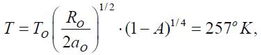
Поступающая от Солнца лучистая энергия является причиной того, что на нашей планете теплее по сравнению с космосом. Приравнивая потоки падающей на Землю солнечной энергии и отведенной от Земли обратно в космос, можно оценить температуру Т равновесного теплового излучения нашей планеты:

здесь ТО – температура поверхности Солнца; RО – радиус Солнца; аО – радиус земной орбиты; А — альбедо, или доля отраженной световой энергии, которую по данным спутниковых измерений можно принять равной 28 %.
Тепловое излучение Земли происходит в инфракрасной области. Для температуры Т = 257°К максимум теплового излучения приходится на длину волны ? = 11,3 мкм, которая в 22 раза больше максимальной длинны волны солнечного спектра. Заметим, что около 99 % всей энергии солнечной радиации приходится на лучи с длиной волны 0,17–4,0 мкм, в том числе 48 % приходится на видимую часть спектра с длиной волны 0,4–0,76 мкм, 45 % – на инфракрасную (длина волны от 0,75 мкм) и около 7 % – на ультрафиолетовую (длина волны менее 0,4 мкм). Преимущественное значение для жизни имеют инфракрасные лучи, а в процессах фотосинтеза наиболее важны оранжево-красные и ультрафиолетовые лучи.
Величина температуры Т = 257?К является радиационной, она значительно ниже среднегодовой температуры умеренных широт Земли. Тепло в космос излучает, как правило, не сама земная поверхность, а атмосфера Земли, слой окружающего ее воздуха. Основные компоненты воздуха (азот, кислород и инертные газы) прозрачны в инфракрасном диапазоне длин волн. Однако углекислый газ и водяные пары, присутствующие в атмосфере в малых количествах, настолько сильно поглощают инфракрасное излучение, что именно они и определяют прозрачность земной атмосферы в инфракрасном свете, они же определяют и излучательные свойства нашей атмосферы. От изменяющейся влажности воздуха и от содержания углекислоты зависит та высота в атмосфере, где инфракрасное излучение покидает Землю и в конечном итоге определяет среднюю температуру земной поверхности.
Угол между направлением на Солнце и нормалью к поверхности Земли в данной точке сильно меняется и в течение дня, и день ото дня в течение года. Солнечная энергия, поступающая за сутки, является важнейшей характеристикой климата данной широты. Изменение ее со временем года диктует климатический ход смены сезонов.
Астрономическая теория колебаний климата была создана выдающимся югославским ученым М. Миланковичем в 20-е годы XX века. Эта теория дала возможность вычислить времена ледниковых периодов прошлого и предсказывать наступление следующих ближайших оледенений Земли. Дело в том, что эксцентриситет земной орбиты меняется под действием малых возмущений других планет. Он может достигать значений еmax = 0,0658. Поскольку в перигелии и афелии расстояние до Солнца равно аО(1 – е) и аО(1 + е) соответственно, а освещенность Земли солнечными лучами обратно пропорциональна квадрату расстояния, то в течение года поступающая на Землю солнечная мощность меняется.
Характерный период изменения эксцентриситета составляет около 100 тыс. лет. Кроме того, с периодом 26 тыс. лет прецессирует (меняет свой наклон подобно «волчку», теряющему движение) земная ось, и угол наклона оси Земли к плоскости эклиптики (плоскости земной орбиты) тоже колеблется с периодом в 41 тыс. лет. Поэтому условия освещенности нашей планеты Солнцем существенно изменяются на протяжении как раз таких периодов времени, которые по порядку величины близки временам смены ледниковых эпох.
Влажность атмосферного воздуха связана с величиной насыщения его парами воды. Наиболее богат влагой слой атмосферы до высоты 1,5–2,0 км, где концентрируется примерно 50 % всей влаги. Чем выше температура воздуха, тем больше в нем влаги. Однако для конкретной температуры воздуха существует определенный предел насыщения его парами воды, а разность между максимальным и данным насыщением называется дефицитом влаги или недостатком насыщения. Чем выше дефицит влаги, тем суше и теплее, и наоборот. На анализе динамики дефицита влаги основаны многие способы прогнозирования различных явлений в мире живых организмов.
Напомним, что пары воды не пропускают инфракрасное тепловое излучение поверхности Земли. Поэтому тепловую энергию в космос излучают верхние слои тропосферы, где паров воды уже меньше, – почти вся она сконденсировалась и вымерзла ниже, в облаках. На верхней границе облаков температура примерно равна радиационной температуре Земли (257?К), и даже насыщенный водяной пар с плотностью, равной 1,27 г/м3, при этой температуре уже прозрачен для теплового излучения. Поэтому верхняя граница облаков определяется общим содержанием влаги в воздухе и проходит примерно там, где инфракрасная прозрачность насыщенного водяного пара атмосферы становится настолько малой, что пропускает тепловое излучение. К низу облака температура растет, и возрастает концентрация насыщенных паров. Поэтому на некоторой высоте температура становится достаточной для испарения всей капельной воды облака, его водность обращается в ноль. Нижняя граница облаков определяется «точкой росы», когда концентрация влаги равна концентрации насыщенного пара.
Мощная конвекция рождает тучу – грозовое кучевое облако, его обычная высота в средних широтах равна 7–10 км, а вблизи экватора она достигает 12–15 км. В тучах имеются восходящие и нисходящие потоки воздуха. Последние возникают за счет падающих льдинок и капель дождя. Осадки – это одно из звеньев в круговороте воды на Земле, причем в их выпадении прослеживается сильная неравномерность. Выделяют гумидные (влажные) и аридные (засушливые) зоны. Максимальное количество осадков выпадает в зоне тропических лесов (до 2000 мм/год), а в некоторых пустынях тропического пояса всего лишь 0,18 мм/год. Зоны с количеством осадков менее 250 мм/год считаются засушливыми (критическими для жизни).
Ветер. Как правило, мощная облачность располагается над теми местами, где давление у поверхности Земли низкое. Туда стремятся, закручиваясь кариолисовыми силами, поверхностные ветры, которые, в свою очередь, обусловлены разной степенью прогрева земной поверхности. В центре такого циклона воздух поднимается вверх и, охлаждаясь, образует облака. В верхних слоях атмосферы над областью пониженного давления, напротив, давление атмосферного воздуха выше среднего, характерного для данной высоты. В верхней тропосфере воздух, гонимый избыточным давлением, расходится от центра циклона.
Антициклоном называется область повышенного атмосферного давления у поверхности Земли. В антициклоне сухой воздух опускается из верхней тропосферы, поэтому над теми местами, где находится антициклон, безоблачное, ясное небо. Циклоны и антициклоны имеют размеры до 3000 км в поперечнике и среднее время жизни около недели.
Есть на Земле один постоянный циклон, и летом, и зимой стоящий около Исландии. Он рождается встречей теплых вод Гольфстрима с холодным полярным воздухом. Над всей Исландией всегда облачное небо. В нашей стране зимой погоду во многом определяет Сибирский антициклон. Главную роль в его формировании играют Гималаи, не пропускающие на север влажный воздух Индийского океана.
Ветры, рожденные у экватора, расходятся по всей планете, хотя, как мы видим, довольно сложным образом. Оценка скорости ветров и времени переноса кинетической энергии атмосферы на расстояние земного радиуса дает значение соответственно V ? 10 м/с и t ? 1 неделя. Разумеется, это средние значения названных параметров, однако по ним можно судить о распределении примесей в атмосферном воздухе планеты. Более долгосрочные прогнозы погоды связаны с изменением условий нагревания Земли.
Газовый состав атмосферы включает преимущественно азот (78,09 % по объему) и кислород (20,94 % по объему) с примесью незначительного количества диоксида углерода, аргона и некоторых других газов. В верхних слоях атмосферы (25–40 км) содержится озон, а в нижних слоях присутствуют твердые и жидкие частицы (вода, оксиды разных веществ, пыль и дым). Озон выполняет экранирующую роль по отношению к ультрафиолетовой части солнечного спектра, губительного для всего живого. Примеси мельчайших частиц (пыльца растений, дымы, гигроскопические соли, твердые и жидкие оксиды и др.) влияют на прозрачность атмосферы, препятствуя прохождению солнечных лучей к поверхности Земли.
Наиболее острой является проблема загрязнения атмосферы серосодержащими веществами. Диоксид серы оказывает вредное воздействие на растения, угнетая жизнедеятельность клеток. Листья растений сначала покрываются бурыми пятнами, а затем засыхают. Диоксид серы и другие соединения раздражают слизистую оболочку глаз и дыхательные пути. Продолжительное действие даже малых концентраций SO2 ведет к возникновению хронического гастрита, гепатита, бронхита, ларингита и других заболеваний. С наличием в воздухе SO2 связано выпадение кислых атмосферных осадков. Отмечены случаи выпадения осадков, соответствующие повышению кислотности по сравнению с нормой в 4000 раз.
Мелкие частицы пыли проникают в дыхательные пути и раздражают слизистые оболочки. Пыль, содержащая ядовитые вещества (мышьяк, ртуть, свинец), приводит к отравлениям. Асбестовая пыль способна вызвать фиброз легких, она также усиливает вредное воздействие диоксида серы. Ряд металлов (мышьяк, хром и др.) отнесен к веществам, вызывающим раковые заболевания. Оксид углерода инактивирует гемоглобин, обуславливая кислородную недостаточность тканей, вызывая расстройства нервной и сердечно-сосудистой систем, способствуя развитию атеросклероза. Химические превращения в атмосфере инициируются главным образом продуктами фотолиза таких молекул, как О3, О2, Н2О, N2О, NО2. Присутствие свободных радикалов приводит к смогу. Основные продукты фотохимических реакций – альдегиды, кетоны, СО, СО2, органические нитраты и оксиданты.
Вода — неотъемлемая часть всего живого на Земле. Вода океанов, морей, поверхностные и подземные воды суши, содержащиеся в реках, озерах, ледниках, составляют в совокупности гидросферу. В литосфере вода содержится в порах и более крупных полостях горных пород, либо находится во взаимосвязи с породами минералов. В атмосфере вода встречается в различных состояниях – в виде облаков, дождя, снега. Подвижность воды во всех фазах определяет ее способность перемещаться из одной среды в другую под воздействием температурных изменений, силы тяжести, а также химических и биологических процессов. Совокупность всех перемещений воды составляет гидрогеологический цикл.
Из 510 млн. км2 общей площади земной поверхности на Мировой океан приходится 361 млн. км2 (71 %). Океан – главный приемник и аккумулятор солнечной энергии, поскольку вода обладает высокой теплоемкостью (4,18 кДж/кг·К). Турбулентные потоки и поверхностные течения перемешивают верхний слой океана на глубину, примерно равную 100 м.
Главными неорганическими компонентами поверхностных и подземных вод являются катионы водорода, кальция, магния, натрия, калия и анионы CO–3, HCO–3 (карбонат и бикарбонат), Cl– (хлорид), SO2–4 (сульфат) и OH– (гидроксил). Жесткость воды обуславливается избытком ионов бикарбонатов, образующихся в результате растворения известняков и других известняковых пород, либо наличием ионов сульфатов, получающихся при растворении гипса, а также при окислении сульфатов.
Из наиболее значимых для организмов абиотических факторов в водных объектах отмечают соленость воды, т. е. содержание в ней растворенных карбонатов, сульфатов, хлоридов. В пресных водах их мало, причем преобладают карбонаты (до 80 %). Воды открытого океана содержат в среднем 35 г/л солей. Здесь преобладают хлориды и отчасти сульфаты. Характеристика химических свойств воды связана с присутствием в ней растворенного кислорода, обеспечивающего дыхание водных организмов и окисление поступающих в воду с промышленными выбросами минеральных веществ.
Хорошо растворяется в воде и углекислый газ. В воде океана растворенную углекислоту поглощает при фотосинтезе фитопланктон – одноклеточные хлорофилловые организмы, живущие в верхнем слое всего океана. Углекислый кальций (мел) в огромных количествах осажден на океанском дне в виде отмерших раковин и коралловых скелетов.
В соленой воде углекислый газ растворяется чуть хуже, чем в пресной, но его растворимость возрастает с ростом глубины. Поэтому океан способен поглотить количество углекислого газа, которое намного превосходит его массу в атмосфере. Происходит это медленно, и определяющим местом в процессе поглощения оказывается приповерхностный слой воды. Только из-за малой скорости растворения углекислого газа и регистрируется некоторое увеличение его содержания в атмосфере.
Жизнедеятельность организмов в воде зависит от концентрации водных ионов (рН), которая определяет кислотность воды (при рН = 7 вода нейтральна; рН < 7 – кислотная, рН > 7 – щелочная). Все обитатели воды приспособлены к определенному уровню рН: одни предпочитают кислотную среду, другие – щелочную, третьи – нейтральную. Промышленное загрязнение воды по параметру рН ведет к гибели ее обитателей или замещению одних видов другими.
Органические вещества поступают в поверхностные и подземные воды в результате процессов разложения, в том числе с участием микроорганизмов, а также вследствие загрязнения вод бытовыми, сельскохозяйственными и промышленными отходами. Аммоний (NH3) является одним из наиболее распространенных продуктов, образующихся при процессах разложения, и по его повышенному содержанию можно получить представление о степени загрязненности воды органическими веществами. Величиной содержания аммония и других органических восстановителей (соответственно с количеством кислорода, потребного для их окисления) является так называемая биохимическая потребность в кислороде. Опасность для здоровья человека при употреблении воды, содержащей органические примеси, попадающие со сточными водами, определяется присутствием бактерий – переносчиков заразных болезней.
Почва представляет собой исходное звено в обеспечении продуктами питания всех наземных живых организмов, она образуются из выветренных коренных пород или рыхлых поверхностных отложений в результате их взаимодействия с атмосферным воздухом и водой и под влиянием жизнедеятельности растений, животных и микроорганизмов. Только одновременное наличие таких природных элементов, как кислород, вода и органические соединения, может обеспечить высокий уровень биологической активности почв. Предшественник и учитель В.И. Вернадского почвовед В.В. Докучаев (1846–1903 гг.) рассматривал почву как естественное тело, где происходит взаимодействие всех трех «царств природы»: минералов, растений и животных.
Толщина сформировавшегося почвенного слоя, где все процессы находятся в состоянии относительного равновесия, может варьироваться от нескольких сантиметров до нескольких метров. Цвет, структура и состав почвы определяются климатическими условиями, особенностями рельефа, составом материнских пород и в свою очередь определяют характер растительного покрова. Для почвенного профиля характерно наличие более или менее отчетливо выраженных зон по вертикали.
Во всех типах почв самый верхний горизонт имеет более или менее темный цвет, зависящий от количества органического вещества. Этот горизонт называют гумусовым или перегнойно-аккумулятивным. Он может иметь зернистую, комковатую или слоистую структуру. Избыток или недостаток гумуса определяет плодородие почвы, так как в нем осуществляются сложные обменные процессы, в результате которых образуются элементы питания растений. Существуют области допустимых ?доп и критических ?кр значений гумуса, когда возможно и невозможно растениеводство.
Более 800 000 книг и аудиокниг! 📚
Получи 2 месяца Литрес Подписки в подарок и наслаждайся неограниченным чтением
ПОЛУЧИТЬ ПОДАРОКДанный текст является ознакомительным фрагментом.