Энергетический потенциал государств и формаций
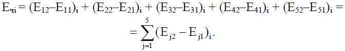
В процессе жизнедеятельности человек как биосистема взаимодействует с природной, социально-экономической, государственно-правовой, информационной, технико-технологической средами (рис. 1.12). В процессе такого взаимодействия человек отдает энергию Е11, Е21, Е31, Е41, E51 соответствующим средам, а от них получает ?12, Е22, Е32, Е42, Е52. Если человек взаимодействует со всеми средами одновременно, то в каждый текущий момент времени он получает суммарную величину энергии

При этом Еi1 = Еi1(х1, …, хn, t), Еi2 = Еi2(х1, …, хn, y1, …, yn, t), где х1, …, хn —параметры человека как биосистемы, у1, …, уn – параметры среды жизнедеятельности.

Рис. 1.12
Роль отдельных составляющих в образовании энергетики Eч(t) различна, что обусловлено типом и характером человека. Так, гуманитарий не может надеяться, что составляющая (E52 – E51)i полученная им в процессе жизнедеятельности, будет велика, поэтому отдавать ?51 ему не следует, а необходимо приложить свою энергетику в другие среды, иначе его потери будут весомыми, а это сопряжено с риском жизнедеятельности.
Полученную в процессе жизнедеятельности энергию Ечi некоторый i-й человек социальной среды распределяет согласно существующей правовой базе своего государства: часть ?(1)чi оставляет себе для обеспечения жизнедеятельности, а другую часть Е(2)чi – отдает государству, которое обязано его защищать и оберегать в старости.
Суммируя энергию Е(2)чi от всего населения страны, получаем энергию страны

где k – количество трудоспособных жителей. При этом государству выгодно, чтобы каждый гражданин максимально использовал свою энергию, так как оно в этом случае получает больший энергетический потенциал.
Изменение энергетики человека и в целом нации может быть таким, что его производная равна нулю или отрицательна. Такая ситуация возникает под влиянием различных управляющих и возмущающих факторов, связанных с деятельностью политиков, философов, правителей. Таким образом, энергетический потенциал может быть использован в качестве странового человеческого риска, связанного с риском всех людей данной страны, а также человеческого риска отдельного индивидуума, которые не совпадают.
Раньше энергетически сильная нация захватывала слабую, которая затем познавала изнутри все стороны сильной. Познав и научившись воевать, она восставала и добивалась свободы. Сейчас слабеющие нации подвергаются экономической экспансии со стороны сильных. Но при этом они не крепнут. Весь имеющийся энергетический потенциал переходит к сильной нации в виде товара, денег, искусственной энергетики, а часто и естественной – переездом специалистов, выкупом технологий.
Более 800 000 книг и аудиокниг! 📚
Получи 2 месяца Литрес Подписки в подарок и наслаждайся неограниченным чтением
ПОЛУЧИТЬ ПОДАРОКДанный текст является ознакомительным фрагментом.