Глава 2 Почему оценить красоту математики непросто
Как мы уже говорили в начале предыдущей главы, никто не удивится, если случайный прохожий, которого мы спросим об эстетической ценности математики, лишь скептически поднимет брови. Мы же считаем, что эта эстетическая ценность, безусловно, существует, и сомнения случайного прохожего означают лишь одно: оценить красоту математики непросто. Здесь и возникает вопрос, вынесенный в название главы.
Пять чувств и изобразительное искусство
Мы знаем, что красота математических рассуждений заключается в гармоничном сочетании идей, которые их образуют, подобно тому как красота здания складывается из гармоничного сочетания его архитектурных элементов. Однако большинству людей намного сложнее оценить красоту теоремы, чем красоту готического собора.
В чем же причина? По нашему мнению, ответ на этот вопрос лежит в области физиологии: людям сложно оценить эстетическую ценность математических рассуждений, так как нам не хватает отдельного чувства, позволяющего автоматически различить структуру идей, составляющих рассуждения, и оценить гармоничность их сочетания.
Прежде чем обсудить это утверждение, приведем несколько примеров, показывающих тесную связь между нашими чувствами и визуальным искусством.
Живопись
Начнем с живописи. Можно сказать, что красота картины заключается в гармоничном сочетании ее элементов: форм, цветов, композиции, пространства, света и даже текстуры. Из утилитарных соображений рассмотрим живопись с чисто формальной точки зрения, оставив в стороне ее этическую, моральную и другую ценность и функции. Об этом мы поговорим позже.
Как бы то ни было, все элементы картины, а также связи между ними воспринимаются зрением напрямую.
Рассмотрим наскальный рисунок. Он состоит из простых цветных пятен на стене пещеры. Зрение позволяет нам понять, что на рисунке изображены животные и люди на охоте. Мы с первого взгляда увидели всю структуру форм картины, и теперь наш мозг может решить, гармонична ли ее композиция.
Наскальный рисунок на плато Тассилин-Адджер на юго-востоке Алжира. Плато объявлено объектом всемирного наследия ЮНЕСКО, так как на нем было сделано множество ценных археологических находок.
Точно так же достаточно одного взгляда, чтобы оценить картину Яна ван Эйка «Портрет четы Арнольфини» — мозг автоматически получает информацию о цветах и может определить, кажется ли картина красивой.
Так же автоматически зрение воспринимает композицию фрески Рафаэля «Афинская школа» в Ватиканском дворце: персонажи картины, в числе которых можно увидеть Пифагора, Евклида, Птолемея и, разумеется, Платона и Аристотеля, рас положены симметричными группами. Мы мгновенно воспринимаем расположение персонажей под куполами, ограничивающими сцену, и глубину, созданную с помощью методов перспективы. Вся эта информация очень быстро передается органами зрения в мозг, и он может «решить», гармонично ли сочетание элементов композиции. Ничто не ускользает от нашего взора: ни пространство и свет, изображенные Веласкесом на картине «Менины», ни даже текстура мазков «Сеятеля» Ван Гога — здесь зрение словно заменяет тактильные ощущения.
«Портрет четы Арнольфини» — картина Яна ван Эйка, созданная в 1434 году, хранится в Лондонской национальной галерее.
«Афинская школа» — фреска, созданная Рафаэлем Санти в 1510–1511 годах для Ватиканского дворца.
Слева — «Менины», картина Веласкеса, написанная в 1656 году, сейчас хранится в музее Прадо. Справа — фрагмент картины «Сеятель», созданной Винсентом ван Гогом в 1888 году, в настоящее время хранится в частной коллекции.
Музыка
Похожие рассуждения будут справедливы для музыки и органов слуха. Здесь нужно рассмотреть последовательность музыкальных аккордов во времени, их кинетический характер. Философ Монро Бирдсли писал: «Музыка есть искусство, которое течет со временем: она колеблется, подпрыгивает, колышется, становится неспокойной, поднимается, запинается и беспрерывно движется». Эта временная упорядоченность музыки, которая отсутствует в живописи, также крайне важна в математике. Теорема, подобно симфонии, начинается, продолжается и заканчивается, и порядок расположения ее составных частей имеет огромное значение.
Последовательный характер музыки очень важен для ее восприятия: чтобы оценить эстетику мелодии, нужно обладать определенной звуковой памятью. При этом звуковая память человека не особенно развита по сравнению, например, с визуальной.
Как-то раз я услышал такую фразу: человек, слушающий квартет Брамса, подобен рыбе, смотрящей «Психоз» Хичкока. Наша кратковременная звуковая память не способна фиксировать сложные последовательности звуков, и еще меньше она подходит для распознавания подобных последовательностей с легким изменением ритма каждые несколько минут. Именно это чувствует рыба, которая смотрит на киноэкран: увидев эпизод фильма, уже спустя несколько минут или даже секунд она забывает его и не способна узнать персонажа, который на мгновение исчез с экрана. Мне кажется, что способность людей запоминать сложные мелодии также проявляется в распознавании абстрактных элементов грамотных математических рассуждений. Как следствие, ограниченные способности распознавания подобных шаблонов, которые столь часто встречаются в математике, всерьез мешают нам оценить их красоту.
Схожесть музыки и математики легла в основу множества эссе, которые уже написаны и наверняка появятся в будущем. Не будем забывать слова великого Лейбница: «Музыка есть тайное упражнение в арифметике ведущей счет, но не сознающей этого души». Далее мы ограничимся тем, что подчеркнем важное различие между музыкой и математикой. Когда мы наслаждаемся музыкой, органы слуха последовательно и автоматически передают мозгу мелодию, ритмические элементы, ее ритм, композицию и так далее. Располагая этой информацией, мозг определяет, можно ли считать элементы мелодии гармоничными, а музыку — красивой. Но какое из наших чувств автоматически передает мозгу последовательность математических идей, которые содержит великая теорема?
«Виолончелист». Снимок выполнен одним из пионеров фотографии Антоном Джулио Брагалья в 1913 году.
Пример из гастрономии
Все эти рассуждения справедливы и в более сложных ситуациях, когда участвуют несколько чувств, например в гастрономии, поэтому процесс сенсорного восприятия более сложен, но столь же эффективен. Так, в дегустации вина участвуют все чувства, начиная со слуха, который передает в мозг звук вина, льющегося в бокал (по этому звуку можно оценить содержание в вине глицерина и алкоголя); за ним следует зрение, которое передает тональность и насыщенность цвета; обоняние, транслирующее мозгу множество информации о запахах, в формировании которых участвуют различные сорта винограда, особенности изготовления вина, условия и продолжительность выдержки; букет, позволяющий оценить соотношение четырех основных вкусов; и даже осязание, которое передает внутреннюю гармонию различных компонентов вина. Все органы чувств сообщают мозгу информацию об органолептических свойствах вина, позволяющую оценить его с эстетической точки зрения.
В последнем примере нужно учесть некоторые минимальные начальные условия, без которых оценить эстетические свойства вина невозможно. Речь идет об отсутствии определенных религиозных и моральных ограничений — пусть и в меньшей степени, это соображение применимо для живописи и скульптуры: представьте себе знаменитый тайный зал дворца Габсбургов, где хранились изображения обнаженной натуры, или цензуру в нацистской Германии, запрещавшую полотна импрессионистов, экспрессионистов, авангардистов и других представителей «дегенеративного искусства». Необходимо обладать определенной культурой и развитой способностью оценивать и различать вкусы и запахи, а также обонятельной памятью, которая позволяет распознавать запах дегустируемого вина и сравнивать его с винами, попробованными ранее. И разумеется, важное условие — отсутствие атрофии органов чувств, возникающей при встрече с некоторыми определенными вкусами и запахами. Совсем нетрудно увидеть, что подобные начальные условия мешают нам наслаждаться математическими рассуждениями: это и антипатия, которую добрая часть населения испытывает к математике, и атрофия чувств, которую может вызвать подобная нелюбовь. Не будем говорить о причинах такого отношения к математике. Предлагаем читателю поразмыслить: рекламной индустрии удалось совершить чудо и превратить черный и сладкий освежающий напиток во «вкус жизни», просто повторив одну и ту же фразу несколько миллионов раз; то же самое, но со знаком «минус», произошло с математикой.
Литература
Наконец, рассмотрим пример, который намного ближе к математике, а именно литературу. В этом случае органы зрения (или слуха, если кто-то читает нам книгу вслух, либо осязания, если мы читаем книгу, набранную шрифтом Брайля) передают в мозг сюжетные повороты романа и строчки стихотворения. Но если мозг фиксирует живописные элементы картины или мелодию струнного квартета автоматически, то для восприятия литературы необходим определенный анализ. Причина в том, что эстетический объект, а именно литература, не имеет особенностей, доступных визуальному, аудиальному, обонятельному или осязательному восприятию, а состоит из смыслов, которые неощутимы органами чувств и являются результатом интенсивной работы разума. Эстетическая ценность романа или стихотворения не написана черным по белому — она сокрыта в тексте. Литература обладает эстетической, но не осязаемой ценностью.
Когда пяти чувств недостаточно
Представленные выше примеры подтверждают исходное утверждение: красоту математических рассуждений сложно оценить потому, что у нас нет подходящего чувства, которое позволило бы оценить композицию идей, в которой и заключена красота математики.
Математические рассуждения, подобно литературе, обладают неосязаемой эстетической ценностью: внешний вид, форма (в гегелевском смысле) математических рассуждений, которые мы способы ощутить с помощью органов чувств, не имеют отношения к их эстетической ценности — их содержимое и значение важнее. Математика, хотя и служит для описания и понимания реальности, целиком заключена в мозгу человека, и теорема — не более чем передача идей из одного мозга в другой, при этом в качестве посредника используется бумага или доска. Следовательно, нет ничего, что менее зависело бы от чувств, чем математика.
Поэтому неудивительно, что смысл математики можно понять только по результатам глубоких размышлений. Иными словами, математика — хранилище эстетической ценности, которую можно оценить не органами чувств, а в результате интеллектуального анализа. Именно поэтому оценить красоту математики сложнее, чем красоту картины, скульптуры или музыкальной композиции. Усилия, необходимые, чтобы разобраться в хитросплетении математических идей, составляющих теорему, очевидно, не всегда одинаковы. Существуют способы, позволяющие упростить эту задачу, и эти способы имеют отношение к органам чувств. Самый привычный из них — сделать математические рассуждения более понятными с помощью рисунков и геометрических фигур. В этом случае мы просто используем быстроту и легкость, с которыми зрение передает в мозг необходимую информацию.
Хотя зрение, слух и осязание делают формулировку теоремы или ее доказательство доступными для мозга, структура идей в этой формулировке или доказательстве необязательно будет заметной. Часто бывает, что она скрыта за логическими преобразованиями, которыми изобилуют доказательства теорем, раздроблена промежуточными действиями и доказательствами второстепенных утверждений, которые скрывают основные идеи и мешают оценить их гармонию. Мозг оценивает структуру идей, а в результате анализа элементов доказательства, его очистки от незначительных элементов и переупорядочивания этот процесс не протекает автоматически, и его итог может зависеть от уровня математической подготовки, приложенных усилий и так далее.
На этой фотографии 1920 года Альберт Эйнштейн, Пауль Эренфест, Поль Ланжевен, Хейке Камерлинг-Оннес и Пьер Вейс изображены за обсуждением у доски.
Органы чувств автоматически передают мозгу информацию о форме, цветах, композиции, пространстве, освещении и текстуре картины, о гармоничности и ритмичности музыкальной композиции, однако в математике этого не происходит: анализ, выполняемый в этом случае, требует усилий. И чем больше усилий необходимо, чтобы понять математические рассуждения, тем сложнее оценить их красоту. Однако, возможно, удовольствие, испытанное при виде их красоты, будет выше, ведь за сложностью могут скрываться блестящие, глубокие и даже гениальные математические идеи.
Понимание структуры идей, в зависимости от гармонии их составляющих, пробуждает эстетическое удовольствие, «душевное наслаждение», как сказано в словаре. Перефразируя описание эстетической ценности, которое привел философ Джордж Сантаяна в своей книге «Постижение красоты», можно сказать, что это объективированное удовольствие, интеллектуальное наслаждение, которое мы можем получить, если изучим и поймем некую теорему, является центральной эстетической категорией, свойством математических рассуждений, которое наделяет их красотой.
Органы чувств передают в мозг информацию о том, что происходит вне его, следовательно, без них невозможно насладиться красотой чего бы то ни было, будь то картина, симфония или пейзаж. Тем не менее удовольствие, которое вызывает красота, лежит не только в плоскости чувств, но и требует вмешательства разума.
«Довольствия, которые доставляет красота, — писал Фернандо Саватер, — наименее „зоологические“ из всех». Так, было бы неразумно полагать, что собака или горилла оценят эстетику готического собора или картины Веласкеса. Последователи Сантаяны утверждают, что существует тесная взаимосвязь между эстетическими ценностями и другими жизненно важными представлениями человека. Витгенштейн возвел эту взаимосвязь в абсолют, сформулировав уравнение: «Этика равна эстетике». В любом случае, именно этот союз красоты и разума делает математику вместилищем эстетической ценности.
Сплетение судеб
Как мы уже говорили в предисловии, цель этой книги — не развернуть сухое и скучное обсуждение эстетической ценности математики, а продемонстрировать на примерах некоторые основные принципы математической красоты. К этому мы сейчас и приступим.
Вы уже знаете, как сложно увидеть красоту, сокрытую в математических рассуждениях. Похожие сложности возникают в попытках оценить эстетику литературы. Однако литература описывает природу человека, что несколько упрощает ее восприятие: эмоции намного ближе, понятнее и поэтому интереснее нам, чем холодность прямоугольного треугольника или экзотичность простого числа. Однако математика также имеет эмоциональную составляющую, причем более интенсивную и важную, чем можно предположить. Об этом мы поговорим в следующей главе.
Мы, математики, должны уметь использовать эмоции в той же степени, что и писатели, и переводить на математический язык, пусть и с необходимыми оговорками, некоторые приемы из арсенала романистов. Расскажем об одном из таких приемов.
Одна из главных целей любого романа и, возможно, его основное достоинство заключается в том, чтобы показать богатство, разнообразие и сложность человеческой природы. В XX веке возник стилистический прием, позволяющий достичь этой цели, — это изображение человеческого муравейника, в который неизбежно превращается любой большой город, и плотной сети взаимоотношений между его жителями. Так родились романы с великим множеством персонажей, изображавшие сложность кишащего людьми мегаполиса; эти персонажи в романе, кажется, никак не пересекаются друг с другом, но постепенно скальпель автора рассекает реальность и обнаруживает плотную сеть удивительных взаимосвязей между героями. К жемчужинам этого стиля принадлежат «Манхэттен» (1925) американского писателя Джона Дос Пассоса и «Улей» (1951) испанского писателя Камило Хосе Села, лауреата Нобелевской премии по литературе, в котором описывается 296 воображаемых и 50 реальных персонажей, хотя большинство из них появляются на сцене лишь ненадолго.
В математике достаточно часто случается так, что различные законы и теоремы кажутся далекими друг от друга, однако в итоге между ними обнаруживается неразрывная связь. Математика представляет собой единое целое, и часто всего один взгляд под правильным углом или одна блестящая идея позволяют связать и объединить результаты, которые, на первый взгляд, никак не связаны между собой. Как и в романах «Манхэттен» и «Улей», демонстрация этого богатства скрытых взаимосвязей позволяет ярче выразить красоту математики. Хорхе Вагенсберг в своей книге «Интеллектуальное наслаждение» отмечает, что поиск общего принципа в различном — важнейший источник эстетического удовольствия: «Понять, что две вещи, по сути, различные, есть в конечном итоге одно и то же, — основа понимания и редкого интеллектуального наслаждения». Оставшуюся часть этой главы мы посвятим примеру, доказывающему истинность этого суждения.
Касательные окружности, рациональное приближение, диофантовы уравнения и роман «Улей»
Среди великого изобилия законов, теорем и гипотез, населяющих необозримый мир элементарной математики, выберем случайным образом трех главных героев нашей истории. Как и на страницах «Улья», эти персонажи кажутся настолько далекими друг от друга, насколько это позволяет невероятная широта и многообразие математики.
Однако в конечном счете отсутствие связей оказывается мнимым.
Первый персонаж нашей истории живет в старом квартале геометрии: это построение, в котором участвуют касательные окружности. Для удобства я дам имена всем трем нашим персонажам. Не думаю, что читатель очень удивится, когда узнает, что я дал им имена героев романа «Улей». Так, я назову нашего первого героя доньей Росой. В романе Селы донья Роса — хозяйка кафе «Утеха», где происходит действие многих эпизодов романа. «Мир для доньи Росы, — пишет Села, — это ее кафе и все прочее, что находится вокруг ее кафе. Говорят, что, когда приходит весна и девушки надевают платья без рукавов, у доньи Росы начинают поблескивать глазки. Я думаю, все это болтовня: донья Роса не выпустит из рук серебряной монеты ни ради каких радостей жизни. Что весной, что осенью. Самое большое удовольствие для нее — таскать взад-вперед свои килограммы вот так, прохаживаясь между столиками»[6].
Второе действующее лицо нашей истории живет в рабочем районе приближений: это метод, позволяющий верно определить приближенное значение произвольного числа, например ?2 или ?, с помощью дробей. Этого персонажа я назову Мартин Марко. В романе «Улей» Мартин Марко — поэт-идеалист левых взглядов, который остался вне игры, когда закончилась гражданская война: «Мартин Марко, бледный, изможденный, в обтрепанных брюках и потертой куртке, прощается с официантом, поднеся руку к полям своей убогой, грязной серой шляпы». Мартин Марко выживает только благодаря заботам друзей и старых знакомых, питается жареными яйцами, которые тайком от мужа готовит ему сестра Фило, и ночует в свободных кроватях отдыхающих проституток борделя, который держит старая подруга его матери.
Третий и последний герой нашей истории — житель самого дорогого и эксклюзивного района математики — теории чисел. Это диофантово уравнение
p2 + q2 + r2 = 3·p·q·r,
точнее, тройки натуральных чисел, удовлетворяющие этому уравнению. Этого героя я назову Хулитой в честь героини романа, которую Села изображает несколько ветреной и легкомысленной: «Она красит волосы в рыжий цвет. Со своей пышной волнистой шевелюрой она похожа на Джин Харлоу». Хулита — племянница доньи Росы и встречается со своим ухажером в апартаментах доньи Селии. Возможно, многим пуристам из мира математики покажутся неуважительными подобные параллели между математическими понятиями и героями романа Селы.
Не отрицаю, что стремление сравнить геометрию или даже ее раздел с коварной доньей Росой, полной, нечистоплотной и эгоистичной женщиной, или сравнить рациональное приближение иррациональных чисел с мечтателем Мартином Марко, олицетворением всех неудачников, или знаменитое диофантово уравнение — с модницей Хулитой Леклерк де Моисее не лишено концептуального риска. Однако и подобные сравнения, и сопутствующий им риск — важнейший элемент игры, которую я предлагаю читателю.
Биография всех наших героев берет начало во времена древних греков, однако, как вы увидите далее, это совпадение будет не единственным и даже не самым важным. Как и в любом романе, совпадения в математике не случайны.
Донья Роса, или построения с касательными окружностями
Начнем рассказ с доньи Росы, то есть с построений с касательными окружностями.
О великом греческом геометре Аполлонии нам практически ничего не известно. Мы знаем лишь, что он родился в Перге примерно в 262 году до н. э., написал несколько важных книг, большинство из которых не сохранились, и был известен под прозвищем «великий геометр». Из всех его трудов нас интересуют «Касания» — эта книга считается утраченной и о ней известно лишь по рассказам Паппа Александрийского, датируемым III–IV веками. В «Касаниях» Аполлоний приводит решение задачи, которая позднее получила название задачи Аполлония: построить с помощью циркуля и линейки окружность, касающуюся трех данных точек, прямых или окружностей. И построение искомых окружностей, и число решений зависит от исходных элементов задачи (точек, прямых или окружностей) и их относительного расположения. Аполлоний, по всей видимости, привел решения для всех возможных случаев.
Первые построения с касательными окружностями возникают в случае, когда исходными элементами задачи являются три окружности. В частности, если три данные окружности касаются, задача имеет два решения: в одном из них построенная окружность будет располагаться внутри, в другом — снаружи.
Задача Аполлония в случае, когда исходными тремя фигурами являются окружности (слева), имеет два решения (справа).
В самом общем случае, когда три данные окружности не касаются друг друга, задача имеет восемь разных решений.
Для трех данных окружностей, не касающихся друг друга (слева), задача Аполлония имеет восемь решений (на рисунке в центре представлены два из них, на рисунке справа — третье).
Из множества вариантов расположения касательных окружностей рассмотрим один, особенно простой и элегантный. Окружности, расположенные таким образом, называются окружностями Форда и строятся по следующим правилам. Отметим на прямой линии значения дробей (или рациональные числа — так мы, математики, любим называть дроби), как показано на иллюстрации.
Все дроби вида р/q, которые мы рассмотрим, являются несократимыми, то есть р и q не имеют общих делителей, при этом q — положительное число. К примеру, мы будем рассматривать не дробь 5/15, а эквивалентную ей несократимую дробь 1/3. В точках, соответствующих каждой дроби p/q, мы поместим окружность радиуса 1/(2q2), которая будет касаться прямой.
Если мы будем использовать привычную систему декартовых координат для обозначения точек плоскости (читатель должен был познакомиться с декартовыми координатами в средней школе), то множество окружностей Форда будет образовано всеми окружностями с центром в точках (р/q, 1/(2q2)) и радиусом 1/(2q2).
Окружности Форда имеют немало удивительных свойств. Путем несложных расчетов можно показать, что две произвольные окружности Форда либо не пересекаются, либо касаются, как показано на двух следующих иллюстрациях.
Окружности Форда, соответствующие дробям на интервале от 0 до 1, знаменатель которых меньше или равен 7. Так, изображенные на иллюстрации окружности соответствуют следующим дробям: 0, 1/7, 1/6, 1/5, 1/4, 2/7, 1/3, 2/5, 3/7, 1/2, 4/7, 3/5, 2/3, 5/7, 3/4, 4/5, 5/6, 6/7, 1.
Аналогичные расчеты показывают, что окружности Форда, соответствующие дробям p/q и Р/Q, касаются, если числа р·Q и Р·q отличаются на единицу; верно и обратное.
Еще один фрагмент окружностей Форда. Изображенные на рисунке окружности соответствуют дробям между 1/2 и 1 со знаменателем, меньшим либо равным 11.
Также можно относительно просто доказать, что если окружности, соответствующие дробям p/q и Р/Q, касаются, то окружности Форда, соответствующие дробям
будут касаться окружности, соответствующей дроби p/q. Кроме того, указанные дроби описывают все окружности Форда, касающиеся окружности, которая соответствует дроби p/q.
Построение окружностей Форда, касательных данной.
Аналогично простые расчеты показывают, что окружности Форда, касающиеся данной, полностью окружают ее. Если бы мы могли изобразить на иллюстрации бесконечное множество этих окружностей, то увидели бы, что они бесконечно приближаются к дроби p/q, пока не «кусают» ее (см. рисунок выше и врезку ниже), как если бы они обладали столь же огромным аппетитом, что и донья Роса из романа Селы.
* * *
ПРОЖОРЛИВЫЕ ОКРУЖНОСТИ ФОРДА
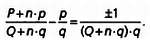
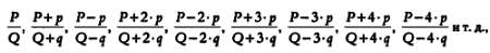
Представленные ниже простые расчеты должны убедить читателя, что окружности Форда, касающиеся данной окружности, соответствующей дроби p/q, неограниченно приближаются к точке, соответствующей этой дроби. Рассмотрим касающиеся окружности, расположенные слева от дроби p/q. Они соответствуют дробям (Р + n·p)/(Q + n·q), где n — любое натуральное число. Теперь достаточно показать, что разность между этими дробями и p/q неограниченно уменьшается с увеличением n:
Так как окружности, соответствующие дробям p/q и P/Q, касаются, то, как мы отмечали выше, числа р·Q и Р·q будут последовательными. Как следствие, их разность будет равна 1 или -1. С учетом этого предыдущее равенство примет вид:
Так как n расположено в знаменателе, то с его увеличением разность между p/q и (Р + n·p)/(Q + n·q) будет уменьшаться и в пределе, при бесконечно большом n, будет равна нулю.
* * *
Читатель согласится с тем, что окружности Форда настолько исполнены гармонии и элегантности, насколько отсутствие этих атрибутов характерно для доньи Росы; ее вздутого, как мех с оливковым маслом, живота, который Села называет «воплощением враждебности сытого к голодному».
Мартин Марко, или рациональное приближение иррациональных чисел
Оставим ненадолго донью Росу и окружности Форда и обратимся к биографии второго нашего героя — Мартина Марко, или рационального приближения иррациональных чисел.
Пифагор и пифагорейцы основывали математику и рациональное объяснение природы на том, что всю Вселенную можно свести к числам. Для пифагорейцев существовали только натуральные числа (1, 2, 3, 4, 5 и так далее) и дроби, которые можно было образовать из натуральных чисел. Тем не менее когда ученики Пифагора занялись простейшей геометрической операцией — измерением отрезков, основы их научной картины мира рухнули. Длина диагонали квадрата со стороной 1 оказалась в точности равна ?2. Пифагорейцев постигло разочарование, когда они поняли, что ?2 нельзя представить в виде дроби (об этом подробно рассказано на следующей странице). Что может быть проще, чем измерить диагональ квадрата? Однако даже ее нельзя точно выразить с помощью натуральных чисел и рациональных дробей. По легенде, Гиппас из Метапонта, пифагореец, раскрывший эту тайну кому-то из непосвященных, был сброшен в море с борта корабля и осужден вечно бороздить волны: «Раскрыв секрет невыразимого, он удостоился страшнейшего наказания — быть отделенным от сущего и низвергнутым в ничто, откуда прибыл».
Вскоре стало понятно, что, помимо чисел 1, 2, 3, 4, 5 и т. д., которые мы используем при счете, и дробей, которые образуются из натуральных чисел, нужны и другие, более «сложные» числа. Чтобы установить различия между «нормальными» и «сложными» числами, математики стали использовать символические названия: числа 1, 2, 3, 4, 5 и т. д. стали называться натуральными, а дроби, которые можно образовать из этих чисел, — рациональными.
Числа ?2, 3?5, ?, напротив, называются иррациональными, словно предупреждая об их нездоровой природе.
* * *
ИРРАЦИОНАЛЬНОСТЬ КОРНЯ ИЗ 2
В доказательстве подобных утверждений проявляется изумительная сила логических рассуждений математики. Так как существует бесконечное множество дробей и мы не можем проверить их все, то как мы можем быть уверены в том, что не существует дроби, которая при умножении на саму себя будет равна 2? Используем революционное изобретение древних греков — доказательство, то есть корректное логическое обоснование математического утверждения. Взяв за основу очевидный факт, посредством логических рассуждений, каждое из которых логически выводится из предыдущих, мы доказываем истинность другого, неочевидного, факта. Первое доказательство, о котором мы расскажем, приписывается самому Пифагору и звучит так. Заметим, что всякая дробь имеет эквивалентную ей несократимую дробь, числитель и знаменатель которой не имеют общих делителей. Если существует несократимая дробь (обозначим ее через p/q), которая при умножении на саму себя равняется 2 (иными словами, p/q·p/q = 2), должно выполняться равенство р·р = 2·q·q. Покажем, что это невозможно. Если р·р = 2·q·q, то р·р — четное число; иными словами, оно в два раза больше некоторого другого числа. Так как квадрат нечетного числа — всегда нечетное число, р должно быть четным. Следовательно, число р в два раза больше некоторого другого числа, которое мы обозначим через k (иными словами, р = 2·k). Подставив это выражение в вышеуказанное равенство, получим 2·k·2·k = 2·q·q, или, что аналогично, 2·k·k = q·q. Следовательно, q·q — четное число, поэтому q также будет четным. Однако это невозможно, так как если дробь p/q является несократимой, числитель и знаменатель не могут быть четными одновременно.
* * *
Эта редкая особенность иррациональных чисел становится очевидной, если мы попытаемся ответить на совершенно невинные вопросы: чему равен ?2? чему равно ?? Иррациональное число по своей сути нельзя представить в виде дроби: можно найти дробь, которая будет отличаться от этого числа всего на одну миллионную или даже на одну миллиардную, но она не будет равна иррациональному числу. Если мы захотим уменьшить заданную величину разницы, мы сможем найти новую дробь, но она опять не будет равна иррациональному числу. Эта ситуация подобна проклятию: с той же жестокой монотонностью, с какой протекают тяжелые дни, описанные в романе «Улей», дроби будут следовать друг за другом, и последняя дробь, возможно, будет очень близка к иррациональному числу, но по-прежнему не равна ему.
Получается, чтобы описать иррациональное число, нужно использовать более или менее точные рациональные приближения. Чтобы выразить иррациональное число с абсолютной точностью, нам потребуется бесконечное количество рациональных приближений. Так родился новый тип математических задач — задачи о рациональном приближении иррациональных чисел.
Одним из первых внес вклад в решение задач этого типа Архимед, который получил известный результат, связанный с самой знаменитой математической константой: найдя приближенное значение длины окружности с помощью правильного 96-угольника, он определил, что число ? меньше дроби 22/7 чуть больше чем на одну тысячную. Впоследствии этот результат пытались улучшить многие ученые: так, китайский математик Цзу Чунчжи обнаружил, что дробь 355/113 отличается от ? менее чем на 3 десятимиллионных (это же значение получили многие европейские математики в конце XVI столетия).
Марки, выпущенные в честь Архимеда и Цзу Чунчжи — двух математиков древности, которые нашли самые точные приближения числа ?.
С XVII века разложение в ряд стало подлинной одержимостью, охватившей всех, кто занимался вычислением рациональных приближений числа ?. Эта лихорадка не обошла стороной даже столь видных ученых, как Ньютон и Эйлер.
Но как можно найти приближенное значение иррационального числа в виде дробей в общем виде? Уточним задачу. Определить несократимую дробь p/q тем «затратнее», чем больше ее знаменатель q — чтобы определить ее, нужно разделить единицу на столько частей, сколько указывает знаменатель дроби. Следовательно, чтобы определить, насколько точным приближением иррационального числа является дробь p/q, нужно сравнить разность между этой дробью и иррациональным числом относительно знаменателя q дроби. Для произвольного иррационального числа (обозначим его через а) нужно оценить наименьшее значение выражения |а — p/q| для всех дробей p/q с неизменным знаменателем q. Здесь для оценки разности двух чисел мы используем привычную математическую нотацию: разность |х — у|, записанная между вертикальными чертами, обозначает, что всегда рассматривается разность между большим и меньшим числом, следовательно, эта разность всегда будет положительной. Точнее говоря, |х — у| равно х — у, если х больше у, и у — х, если у больше х.
Так как все дроби со знаменателем, равным q, расположены на числовой прямой на одинаковом расстоянии друг от друга, равном 1/q, можно сделать вывод: для любого иррационального числа а всегда найдется дробь p/q такая, что |а — p/q| < 1/(2 — q). Мы всегда можем представить иррациональное число в виде дроби, при этом погрешность будет меньше величины, обратной удвоенному знаменателю дроби.
К примеру, если мы рассмотрим число ? и q = 10 и воспользуемся калькулятором, то получим, что наиболее точное рациональное приближение числа ? со знаменателем, равным 10, будет дробью 31/10. В этом случае ? — 31/10 = 0,04159…, что в действительности несколько меньше, чем 1/(2·10) = 0,05. Это наиболее точное рациональное приближение со знаменателем, равным 10, из всех возможных. При других значениях знаменателя точность приближения можно значительно улучшить.
Рассмотрим q = 7. Самым точным рациональным приближением числа ? дробью со знаменателем, равным 7, будет дробь Архимеда — 22/7. В этом случае |? — 22/7 | = 0,00126… Как вы можете видеть, дробь Архимеда 22/7 ближе к истинному значению ?, чем приведенная выше дробь 31/10. Нечто похожее произойдет, если мы рассмотрим дроби со знаменателем, равным 113. В этом случае самым точным приближением будет дробь 355/113, полученная Цзу Чунчжи: |? — 355/113 | = 0,000000266. Если мы рассмотрим дроби со знаменателем 125, большим 113, то самым точным приближением будет 393/125, которое будет заметно хуже: |? — 393/125 | = 0,0024. Это приближение даже менее точно, чем дробь Архимеда.
Становится очевидным, что одни знаменатели подходят для приближенных значений иррациональных чисел лучше других. Вопрос заключается уже не в том, как найти точное приближение иррационального числа дробью, а как найти точное приближение дробью с правильно выбранным знаменателем.
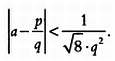
С учетом этого немецкий математик Иоганн Петер Густав Лежён Дирихле (женатый на сестре композитора Феликса Мендельсона) в 1842 году показал, что иррациональное число всегда можно представить в виде дроби так, что ошибка будет меньше величины, обратной квадрату знаменателя дроби.
Немецкий математик Иоганн Петер Густав Лежён Дирихле (1805–1859), после смерти Гаусса сменивший его на посту главы кафедры в Гёттингене в 1855 году.
Доказательство этого утверждения элементарно и основано на «принципе ящиков», позднее названном в честь Дирихле. Принцип Дирихле представляет собой простое отражение здравого смысла: если мы хотим поместить определенное число голубей в ящики, при этом голубей больше, чем ящиков, то в конечном итоге в одном из ящиков окажется больше одного голубя. Принцип Дирихле полезен при доказательстве определенных математических результатов, среди которых — теорема Дирихле о рациональном приближении. Эта теорема звучит так: для данного иррационального числа а существует бесконечно много дробей вида p/q таких, что |a — p/q| < 1/q2. Доказательство этой теоремы приведено на следующей странице. Этот результат существенно точнее, чем тот, о котором мы говорили выше, так как с увеличением q число 1/q2 уменьшается намного быстрее, чем 1/(2·q). Результат Дирихле нельзя улучшить относительно второй степени 1/q. Это тесно связано с разделением иррациональных чисел на алгебраические и трансцендентные.
Рассмотрим ?2: это иррациональное число, однако его можно достаточно просто описать последовательностью целых чисел (…, —6, —5, —4, —3, —2, —1, 0, 1, 2, 3, 4, 5, 6…)» так как является решением уравнения с целыми коэффициентами х2 —2 = 0. Числа, которые представляют собой решения уравнения с целыми коэффициентами (вне зависимости от степени уравнения), называются алгебраическими.
* * *
ДИРИХЛЕ И «ПРИНЦИП ЯЩИКОВ»
Доказательство принципа Дирихле выглядит следующим образом. Рассмотрим произвольное иррациональное число а и выберем некоторое натуральное число N. Теперь рассмотрим числа а, 2·а, 3·а…, N·а и (N + 1)·а. Этот список содержит N + 1 число. Для каждого из них (обозначим их в общем виде k·а) найдется натуральное число рk такое, что разность k·а — рk будет лежать на интервале от 0 до 1. К примеру, если а = ?5 = 2,236…, то 2·а = 4,472… и р2 будет равно 4.3·а = 6,708…, р3 будет равно 6 и так далее. Теперь расположим числа от 0 до 1 в N ящиков: в первом ящике окажутся числа от 0 до 1/N, во втором — от 1/N и 2/N и так далее. В последнем ящике окажутся числа от (N — 1)/N до 1. Так как наш список чисел k·а — рk, k = 1, …, N + 1 содержит N + 1 число, лежащее на интервале от 0 до 1, и мы расположили числа от 0 до 1 в N разных ящиках, то, согласно принципу Дирихле, в одном из этих ящиков будет больше одного числа. Допустим, что числа k·а — рk и n·а — рn находятся в одном ящике. Очевидно, что разница между двумя числами в одном ящике меньше 1/N. Отсюда следует, что |k·а — рk — (n·а — рn)| < 1/N. Если теперь мы введем обозначения q = k — n и р = рk — рn, то получим: |q·а — р| < 1/N, или |а — p/q| < 1/(q·N). Так как и k, и n меньше N + 1, получим, что q меньше N. Учитывая, что это число можно считать положительным, имеем |а — p/q| < 1/q2. Так как число а иррационально, а N — произвольное натуральное число, неравенство |а — p/q| < 1/(q·N) гарантирует, что мы можем найти бесконечно много различных дробей вида p/q, удовлетворяющих неравенству |а — p/q| < 1/q2.
* * *
Каким бы монструозным нам ни казалось число
оно является алгебраическим, так как его можно представить как решение уравнения четвертой степени с целыми коэффициентами х4 + 8х — 5 = 0. Все числа, которые не являются алгебраическими, в математике называются трансцендентными. В некотором смысле они максимально далеки от натуральных чисел, которые мы используем при счете.
Самые знаменитые математические константы — обычно трансцендентные числа. Так, трансцендентными являются число ? и число е, однако это было доказано лишь в конце XIX века. Трансцендентность числа ? имеет удивительное следствие: задача о квадратуре круга не имеет решения. Иными словами, с помощью циркуля и линейки нельзя построить квадрат, равный по площади данному кругу. Задача о квадратуре круга не давала покоя древнегреческим математикам, однако ее решение было найдено лишь в конце XIX столетия. Если мы сравним решение математической задачи с установлением мирового рекорда, то задача о квадратуре круга стала рекордом, который не удавалось превзойти две с половиной тысячи лет!
При поиске приближения алгебраических чисел в виде дробей нельзя найти более точное приближение, чем описанное теоремой Дирихле. Если мы рассмотрим произвольное алгебраическое число а и число k, строго большее 2 (k > 2), то, за некоторыми исключениями (число этих исключений всегда будет конечным), будет выполняться неравенство |а — р/q| > 1/qk.
Это означает, что результат Дирихле нельзя улучшить относительно степени знаменателя. Однако с единицей, «сопровождающей» знаменатель, дело обстоит иначе. В 1891 году другой немецкий математик, Адольф Гурвиц, доказал, что эту константу можно заменить меньшей: 1/?5. Так, для произвольного иррационального числа а существует бесконечно много дробей вида p/q таких, что |а — p/q| < 1/(?5·q2). Гурвиц также доказал, что значение 1/?5 является минимально возможным, поскольку существует еще одна математическая константа, так называемое золотое число, описывающее золотое сечение, Ф = (1 + ?5)/2.
Адольф Гурвиц (1859–1919), один из величайших математиков XX столетия, внесший особый вклад в изучение алгебраических кривых и теорию чисел.
Золотое сечение — это соотношение сторон прямоугольника совершенных пропорций. Согласно древнегреческим геометрам, прямоугольник обладает совершенными пропорциями, если при отсечении от него квадрата со стороной, равной меньшей стороне прямоугольника, оставшийся прямоугольник будет иметь прежнее соотношение сторон. Допустим, длина короткой стороны прямоугольника равна а, длинной стороны — b. Следовательно, длины сторон нового прямоугольника будут равны b — а и а. Соотношение сторон прямоугольника будет наиболее гармоничным при b/а = а/(Ь — а). Приняв х = b/а, имеем х = 1/(х — 1), то есть х2 — х — 1 = 0. Положительный корень этого уравнения равен золотому числу Ф = (1 + ?5)/2.
Если мы отсечем от прямоугольника золотого сечения бесконечное число квадратов и будем соединять противоположные вершины этих квадратов дугами длиной в четверть окружности, получим спираль золотого сечения, изображенную ниже.
Именно такую форму имеет раковина наутилуса, в виде этой спирали располагаются семена подсолнуха, облака в ураганах и антициклонах и звезды во многих галактиках.
Форму золотой спирали имеют раковины наутилуса, ураганы и галактики.
Золотое сечение присутствует в природе повсеместно. Оно привлекало математиков, художников, архитекторов и музыкантов. Обратимся к творчеству Дюрера. Из всех художников Возрождения он, возможно, лучше всех разбирался в математике. Все, что Дюрер знал о возведении городских стен и крепостей, об использовании циркуля и угольника для измерения размеров твердых тел, о пропорциях человеческого тела и о форме букв алфавита, он изложил во множестве книг, напечатанных после его смерти. Большую часть математических знаний Дюрер получил в Италии. По рекомендации венецианского художника Якопо де Барбари он в 1506 году отправился в Болонью, где постигал тайную науку у неизвестного наставника. Многие считают, что этим учителем был монах-францисканец Лука Пачоли, который в 1494 году составил большую математическую энциклопедию XV столетия. До какой степени Дюрер проник в тайны изученной им науки, в которой золотое сечение было заветной формулой идеальных пропорций человеческого тела, можно судить по его прекрасным картинам, где изображены обнаженные Адам и Ева. Оцените разницу между головастым Адамом и пышнотелой Евой на гравюрах Дюрера 1504 года (сегодня они хранятся в венской галерее Альбертина) и ими же, прекрасными и стройными, на картинах 1507 года (они выставлены в мадридском музее Прадо).
Чему Дюрер научился за три года с момента создания гравюры слева до написания картины справа? Чем вызвана эта разница в пропорциях тел Адама и Евы на его картинах?
Как показал Гурвиц, золотое сечение задается иррациональным числом, которое хуже всего описывается рациональными дробями: для любого числа с > ?5 справедливо неравенство |Ф — p/q| > 1/(с·q2), за исключением некоторых дробей p/q, при этом их число всегда будет конечным.
Донья Роса — Мартин Марко, Форд — Дирихле и Гурвиц
Вряд ли в романе «Улей» найдется два персонажа, которые бы внешне отличались больше, чем донья Роса и Мартин Марко. Она — полная, прожорливая, алчная и мизантропичная, он — худой, голодный, бездомный и приветливый. Эти два персонажа сталкиваются, когда донья Роса приказывает официанту вышвырнуть Мартина Марко из ее кафе за то, что тот не заплатил по счету. Хозяйка кафе указывает официанту, как нужно поступить: «На улицу выставить поаккуратней, а там — пару добрых пинков куда придется. Хорошенькое дело!» Тем не менее официант не стал наказывать Мартина Марко, поэтому ему ничего не оставалось, кроме как соврать донье Росе:
«— Всыпал ему?
— Да, сеньорита.
— Сколько?
— Два.
Хозяйка щурит глазки за стеклами пенсне, вынимает руки из карманов и гладит себя по лицу, где из-под слоя пудры пробиваются щетинки бороды.
— Куда дал?
— Куда пришлось, по ногам.
— Правильно. Чтоб запомнил. Теперь ему в другой раз не захочется воровать деньги у честных людей».
Столь же непохожими, как донья Роса и Мартин Марко, кажутся окружности Форда и рациональные приближения иррациональных чисел, описываемые теоремами Дирихле и Гурвица. Окружности Форда точны, элегантны и гармоничны, дроби Дирихле и Гурвица — шокирующие, полные секретов. Кажется, что эти понятия отражают два очень далеких друг от друга аспекта математики.
Однако в хороших романах часто случается так, что два далеких друг от друга персонажа воплощают дополняющие друг друга противоположности, составляющие одну из граней человеческой природы. Так же часто два математических результата, на первый взгляд далекие друг от друга, оказываются выражениями одного и того же математического явления.
Таковы касательные окружности Форда и рациональные приближения иррациональных чисел: первое есть не более чем геометрическое представление второго, как если бы хитросплетения теоремы Гурвица выкристаллизовались в четком и прозрачном изображении — в окружностях Форда.
Если читатель посмотрит на иллюстрацию на странице 50, он увидит, что это не что иное, как наглядное представление теоремы Гурвица. В самом деле, изобразим иррациональное число на числовой оси и проведем через соответствующую ему точку прямую, перпендикулярную числовой оси, как показано на следующем рисунке. Всякий раз, когда эта прямая будет пересекать окружность Форда (допустим, окружность, соответствующую рациональному числу p/q), разница между а и p/q обязательно будет меньше, чем радиус окружности, то есть меньше, чем 1/(2·q2): |a — р/q| < 1/(2·q2).
Как мы уже показали, окружности Форда, касающиеся окружности, которая соответствует дроби р/q, образуют последовательность, которая неизбежно приближается к р/q и в итоге «кусает» ее (см. рис. на стр. 51). Таким образом, если прямая, проведенная через точку, обозначающую иррациональное число а, пересекает окружность Форда, соответствующую дроби р/q, то она пересечет и другую окружность, касающуюся этой и расположенную под ней (см. следующий рисунок), а также окружность, расположенную под этой, и так далее. Отсюда следует, что прямая, соответствующая иррациональному числу, пересечет бесконечное множество окружностей Форда. Таким образом, существует бесконечное множество дробей р/q, удовлетворяющих неравенству |а — p/q| < 1/(2·q2). Это необычное следствие особого расположения окружностей Форда лежит на полпути между теоремами Дирихле и Гурвица, так как полученная нами константа равна 1/2, а согласно теоремам Дирихле и Гурвица она равняется 1 и 1/?5.
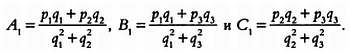
С помощью окружностей Форда также можно получить оптимальное значение этой константы, описываемое теоремой Гурвица. В самом деле, на верхнем рисунке на стр. 50, помимо окружностей Форда, представлены и другие фигуры — криволинейные треугольники, заключенные между любыми тремя касательными окружностями. Эти треугольники также обладают очень важными свойствами. Так, первая координата всех трех вершин подобных треугольников является рациональным числом. Рассмотрим криволинейный треугольник, образованный касательными окружностями Форда, которые соответствуют дробям p/q, p2/q2 и р3/q3. Обозначим вершины этого треугольника через А, В и С. Пусть А1 — первая координата вершины А, В1 — первая координата вершины В, С1 — первая координата вершины С. Нетрудно видеть, что
Так как первые координаты вершин треугольника — рациональные числа, прямая, проведенная через точку, соответствующую иррациональному числу а на числовой прямой, пересечет не только бесконечное множество окружностей Форда, но и бесконечное число криволинейных треугольников. Если большая из трех окружностей, образующих криволинейный треугольник, расположена справа, то в зависимости от значений координат А и В1 (в зависимости от того, какая из них больше) эти треугольники будут иметь один из двух различных видов, как показано на рисунках.
Подробный анализ этих двух случаев позволяет сделать вывод: всякий раз, когда прямая, соответствующая иррациональному числу а, пересекает криволинейный треугольник первого вида (при А1 < B1 см. рисунок выше), разность между а и p2/q2 будет строго меньше, чем 1/(?5·q22). Всякий раз, когда прямая, соответствующая иррациональному числу а, пересекает криволинейный треугольник второго вида (при A1 > B1 см. следующий рисунок), разность между а и р3/q3 будет строго меньше, чем 1/(?5·q23). В любом случае пересечения прямой, соответствующей иррациональному числу а, и сторон криволинейных треугольников определят бесконечное множество дробей p/q таких, что |а — р/q| < 1/(?5·q2). Иными словами, последовательность криволинейных треугольников, порожденных окружностями Форда, есть геометрическое представление теоремы Гурвица.
Хулита, или диофантово уравнение p2 + q2 + r2 = 3pqr
В нашей истории есть и третий персонаж — диофантово уравнение р2 + q2 + r2 = 3·р·q·r, — которого я сравнил с Хулитой, еще одной героиней романа «Улей».
Диофантово уравнение — это всего лишь алгебраическое уравнение, как правило, от нескольких переменных, однако нас интересуют лишь те его решения, которые являются целыми числами (или рациональными, что в некоторых случаях одно и то же). Эти уравнения получили свое название в честь древнегреческого математика Диофанта Александрийского. О нем мы знаем немного больше того, что сказано в его эпитафии: «Прах Диофанта гробница покоит; дивись ей и камень Мудрым искусством его скажет усопшего век. Волей богов шестую часть жизни он прожил ребенком. И половину шестой встретил с пушком на щеках. Только минула седьмая, с подругой он обручился. С нею, пять лет проведя, сына дождался мудрец; Только полжизни отцовской возлюбленный сын его прожил. Отнят он был у отца ранней могилой своей. Дважды два года родитель оплакивал тяжкое горе. Тут и увидел предел жизни печальной своей»[7]. Решив эту задачу, получим, что Диофант прожил 84 года. Предположительно, он жил в II–III веках.
Нам известно, что Диофант был автором нескольких трудов, важнейший из них — «Арифметика». Из тринадцати книг «Арифметики» сохранилось шесть книг на древнегреческом и еще четыре — в переводе на арабский.
Обложка «Арифметики» Диофанта, изданной в 1621 году с комментариями французского математика Баше де Меризиака.
* * *
ДИОФАНТОВО УРАВНЕНИЕ
Задача, описанная на этой странице, приводится во второй книге «Арифметики» под номером 15. Диофант нашел ее решение следующим образом. Он обозначил через р и q квадраты двух последовательных чисел, так как ему было известно, что их произведение, увеличенное на их сумму, также является квадратом. В самом деле, если р = m2, q = (m + 1)2, то:
p·q + p + q = m2·(m + 1)2 + m2 + (m + 1)2 = m4 + 2·m3 + 4·m2 + 2·m + 1 = (m2 + m + 1)2.
В частности, Диофант использовал р = 4 и q = 9. Таким образом, p·q + p + q обязательно будет квадратом: 4·9 + 4 + 9 = 72. Две остальные величины будут таковы: 4·n + 4 + n = 5·n + 4 и 9·n + 9 + n = 10·n + 9. Таким образом, нужно найти число n такое, что и 10·n + 9, и 5·n + 4 будут квадратами. Далее Диофант ввел еще две вспомогательные переменные, r и k, определяемые уравнениями r2 = 10·n + 9 и k2 = 5·n + 4. Имеем
r2 — k2 = 10·n + 9–5·n — 4 = 5·n + 5,
что можно записать как (r + k)·(r — k) = 5·(n + 1). Таким образом, r + k = 5 и r — k = n + 1. Выразив r и k из этих равенств, получим: r = (n/2) + 3 и k = 2 — (n/2). Подставив значение r в уравнение r2 = 10·n + 9 и упростив полученное выражение, получим уравнение второй степени (n2/4) = 7·n = 0. Его решением будет n = 28.
* * *
Приведем пример уравнений, которые рассматривает Диофант в своей «Арифметике»: «Найти три таких числа, что произведение любых двух из них, увеличенное на их сумму, будет квадратом». Если мы обозначим искомые числа через р, q и n, тo p·q + p + q, p·n + p = n и q·n + q + n должны быть квадратами. Диофант привел решение р = 4, q = 9 и n = 28. В самом деле, р·q + q = 49 = 72, р·n + р + n = 289 = 172, q·n + q + n = 144 = 122 (см. врезку). Такие уравнения были известны древним грекам задолго до Диофанта. Первое из них, несомненно, выглядело так: найти натуральные числа m и n такие, что m2 = 2·n2. Как вы уже знаете, Пифагор доказал, что это уравнение не имеет решений: если бы они существовали, то ?2 было бы рациональным числом.
Другое диофантово уравнение, также изученное до Диофанта, имело отношение к теореме Пифагора: требовалось найти все натуральные числа р, q, r, которые были бы решениями уравнения р2 + q2 = r2. Согласно теореме Пифагора, точнее обратной ей теореме, такие числа р, q, r являются сторонами прямоугольного треугольника. Тройки чисел, удовлетворяющих этому уравнению, стали называться пифагоровыми тройками. В книге X «Начал» Евклида приведено общее решение этой задачи: для произвольных натуральных чисел m, n и k
p = k·(m2 — n2), q = 2·k·m·n и r = k·(m2 + n2)
образуют пифагорову тройку, и все пифагоровы тройки имеют подобный вид. Например, приняв m = 3, n = 1 и k = 4, имеем р = 32, q = 24 и r = 40, которые действительно удовлетворяют равенству р2 + q2 = r2.
Среди уравнений, рассмотренных Диофантом в «Арифметике», было уравнение, описывающее пифагоровы тройки. Диофант также решил уравнение р2 + q2 = r2, добавив к нему множество дополнительных условий. Например, он решил задачу о нахождении сторон прямоугольного треугольника, периметр которого является кубом, а сумма площади и гипотенузы — квадратом. Диофант нашел следующее решение этой задачи: длина гипотенузы r равнялась 629/50, длины катетов р и q — 2 и 621/50. Периметр треугольника равнялся 2 + 621/50 + 629/50 = 1350/50 = 27 = 33, сумма площади и гипотенузы — (621/50)·2/2 + 629/50 = 1250/50 = 25 = 52 (см. врезку на предыдущей странице).
* * *
ЕЩЕ ОДНО ДИ0ФАНТ0В0 УРАВНЕНИЕ
Последняя задача, описанная на этой странице, приведена в «Арифметике» Диофанта в книге VI под номером 17. Диофант нашел ее решение следующим образом. Он ввел новую переменную n — площадь треугольника. Тогда (р·q)/2 = n, то есть р·q = 2·n. Далее Диофант принял р = 2 и q = n. Сумма площади и длины гипотенузы треугольника равняется n + r, периметр треугольника — 2 + n + r. Так как число n + r должно быть квадратом, нужно найти такой квадрат, который при увеличении на 2 был бы кубом. Тогда Диофант обозначил длину стороны квадрата через m + 1, длину стороны куба — через m — 1. Теперь нужно найти число m такое, что (m + 1)2 + 2 = (m -1)3. Иными словами, m2 + 2·m + 3 = m3 — 3·m2 + 3·m — 1, или, что аналогично, 4·m2 + 4 = m3 + m. Отсюда следует, что 4·(m2 + 1) = m·(m2 + 1), следовательно, m = 4. Таким образом, имеем n + r = 52 = 25. Так как треугольник со сторонами р, q и r должен быть прямоугольным, имеем: 4 + n2 = r2. Подставив в это уравнение n = 25 — r, получим 4 + (25 — r)2 = r2. Раскрыв скобки и упростив полученное выражение, имеем: 629 — 50·r = 0. Иными словами, r равно 629/50, следовательно, n и q равны 621/50.
Заметьте, что Диофант решил в целых числах кубическое уравнение х2 + 2 = у3 — его корнями являются х = 5, у = 3. Это уравнение имеет единственное решение в целых числах (именно его нашел Диофант) и бесконечно много дробных решений.
* * *
В 1621 году, спустя почти полтора тысячелетия после того, как Диофант написал свою «Арифметику», шесть сохранившихся книг этого труда были отпечатаны на языке оригинала и в переводе на латынь. Автором этого издания с комментариями стал француз Баше де Меризиак.
«Арифметика» Диофанта — одна из немногих книг, вошедших в историю благодаря одному из своих читателей. Речь о французском адвокате Пьере Ферма. Ферма также был математиком-любителем, однако его «любительские» заслуги намного выше профессиональных достижений многих математиков.
В XVII веке теория чисел еще не была частью роскошного района математики. После удивительного расцвета, достигнутого во времена Диофанта, интерес математиков к теории чисел ослабевал на протяжении полутора тысяч лет, и тут на сцену вышел Ферма и вернул теории чисел прежнюю славу, применив самый действенный способ, какой только известен математикам: он сформулировал несколько интересных задач. Достаточно прочесть его примечания и комментарии на полях «Арифметики» Диофанта. Самуэль Ферма, сын математика, составил сборник этих примечаний и комментариев, дополнил ими издание Баше де Меризиака и опубликовал этот вариант «Арифметики» Диофанта в 1670 году.
Обложка «Арифметики» Диофанта с комментариями Пьера Ферма, изданной его сыном в 1670 году.
В этой книге редко встретишь задачу, предложенную Диофантом или комментарий де Меризиака, для которых Ферма не сформулировал бы дополнение, обобщение или интересную задачу по той же теме. Известнейшую из них Ферма записал на полях книги II рядом с задачей 8: «Представить данный квадрат в виде суммы двух квадратов». Иными словами, в этой задаче Диофант объяснял свой алгоритм нахождения пифагоровых троек: р2 + q2 = r2.
Ферма слегка изменил это уравнение и рассмотрел решения в целых числах для уравнения р3 + q3 = r3. Удивительно, но ему не удалось найти ни одного решения за исключением так называемых тривиальных, то есть 0, 1 и —1. Увидев, что уравнение не имеет решений, Ферма задался вопросом: что будет, если показатель степени будет равен не 3, а 4? Каковы целочисленные решения уравнения р4 + q4 = r4? Для этого уравнения ему также не удалось найти решений. «А что, если этих решений просто нет?» — должно быть, спросил себя Ферма после многочисленных неудачных попыток. Тогда он подошел к проблеме с другой стороны и попытался доказать, что уравнение с показателем степени, равным 4, не имеет целочисленных решений. Применив собственный оригинальный метод, Ферма нашел искомое доказательство. Также возможно, что, немного изменив свой метод, он смог доказать, что уравнение третьей степени также не имеет решений. Но достоверно это неизвестно, ведь Ферма не был профессиональным математиком и не затруднял себя публикацией полученных им результатов, не говоря уже об описании использованных методов и приемов. О том, как он размышлял, известно немного, и часто даже это немногое — лишь плод догадок.
Воодушевленный полученными результатами, Ферма, вероятно, счел, что сможет доказать отсутствие решений (за исключением тривиальных) уравнения рn + qn = rn для любого n > 2. Как же он поступил? Он записал на полях «Арифметики» Диофанта такие слова: «Невозможно разложить куб на два куба, биквадрат на два биквадрата и вообще никакую степень, большую квадрата, на две степени с тем же показателем. Я нашел этому поистине чудесное доказательство, но поля книги слишком узки для него». Благодаря этому простому комментарию юрист Ферма вошел в историю: целый легион математиков, словно обезумев, принялся за поиски «чудесного доказательства» Ферма.
Однако теорема Ферма оказалась весьма крепким орешком — за два последующих столетия ее удалось доказать лишь для нескольких п: простых n = 3 (Эйлер, 1770), n = 5 (Лежандр и Дирихле, 1825) и n = 7 (Ламе, 1839), а также для составных n = 6, 10 и 14. Полное доказательство теоремы Ферма привел английский математик Эндрю Уайлс лишь в 1994 году. Оно занимает несколько сотен страниц, и в нем используются сложнейшие математические понятия и методы XX столетия.
Уравнение Маркова
Диофантово уравнение, которое мы рассмотрим ниже, названо в честь русского математика Андрея Андреевича Маркова (1856–1922). Оно записывается так:
p2 + q2 + r2 = 3·p·q·r.
Натуральные числа, которые являются решениями этого уравнения (точнее, натуральные числа р, для которых существуют q и r такие, что р, q, r удовлетворяют уравнению), упорядоченные по возрастанию, называются числами Маркова. О них известно немало, но далеко не все. Так, известно, что чисел Маркова бесконечно много и что первые 16 членов ряда таковы:
1, 2, 5, 13, 29, 34, 89, 169, 194, 233, 433, 610, 985, 1325, 1597 и 2897.
Существует простой метод, позволяющий получить новые числа Маркова на основе уже известных. Нетрудно показать, что если p1, q1 и r1 удовлетворяют уравнению Маркова и мы запишем р2 = 3·q1·r1 — р1, q2 = 3·p1·r1 — q1, и r2 = 3·p1·q1 — r1, то тройка p2, q1 и r1 также будет удовлетворять уравнению Маркова. Это же будет справедливо для троек р1, р2 и r1, а также p1, q1, r2.
Марков доказал, что все целые положительные решения уравнения Маркова можно получить с помощью этого простого метода, приняв в качестве начальных значений p1 = 1, q1 = 1 и r1 = 1.
Живительно, что уравнение Маркова имеет великое множество решений. Но если его немного изменить, оно не будет иметь ни одного решения: к примеру, уравнение р2 + q2 + r2 = 2·р·q·r не имеет целых положительных решений. В действительности, как доказал Гурвиц, ни одно уравнение вида р2 + q2 + r2 = k·р·q·r не имеет целых положительных решений, за исключением случаев, когда k равно 3 (имеем уравнение Маркова), 1 или 0.
Решения уравнения Маркова р, q и r при р = 1 образуют первую связь с теоремой Гурвица о рациональном приближении. В самом деле, эти решения имеют вид р = 1, q = f2n-1 и r = f2n+1, где fk — соответствующее число Фибоначчи. Первыми двумя числами Фибоначчи являются f1 = 1 и f2 = 1, каждое последующее число Фибоначчи определяется как сумма двух предыдущих. Имеем: f3 = 1 + 1 = 2, f4 = 3, f5 = 5, f6 = 8, f7 = 13, f8 = 21, f9 = 34 и так далее. Числа Фибоначчи встречаются в природе столь же часто, что и золотое сечение, с которым они тесно связаны: если рассмотреть отношение двух последовательных чисел Фибоначчи, fn+1/fn, то полученные дроби 2/1, 3/2, 5/3, 8/5, 13/8…, будут всё больше и больше приближаться к золотому числу. Приближение вновь будет описываться теоремой Гурвица:
Это соотношение устанавливает неразрывную связь между числами Маркова и рациональным приближением. Очевидно, что эта связь намного прочнее.
Как мы уже отмечали, из-за золотого сечения рациональное приближение, описываемое теоремой Гурвица, нельзя улучшить. Это справедливо для золотого числа Ф и всех иррациональных чисел, эквивалентных ему с точки зрения рационального приближения. Иными словами, речь идет об иррациональных числах вида (m·Ф + n)/(р·Ф + q), где m, n, р, q — произвольные целые числа, которые удовлетворяют условию m·q — n·р = ± 1.
Математик Андрей Андреевич Марков совершил важные открытия в теории чисел и теории вероятностей.
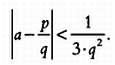
Оставим в стороне золотое сечение и все иррациональные числа, эквивалентные ему. Гурвиц доказал, что его теорема допускает более точную оценку, так как константу 1/?5 можно заменить другой, меньшей константой 1/?8: для произвольного иррационального числа а, за исключением золотого числа и эквивалентных ему, существует бесконечное множество дробей p/q таких, что
Это приближение нельзя улучшить: если принять а = ?2, то его рациональное приближение не может быть точнее, чем допускает константа 1/?8, умноженная на число, обратное квадрату знаменателя.
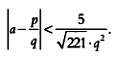
Однако если мы оставим в стороне ?2 и все эквивалентные ему, то сможем еще больше улучшить рациональное приближение, заменив константу 1/?8 другой, меньшей константой 5/?221. Для любого иррационального числа а, за исключением золотого числа, квадратного корня из 2 и эквивалентных им, существует бесконечно много дробей вида p/q таких, что
Читатель уже наверняка догадался, что теперь существует еще одно иррациональное число, для которого нельзя улучшить это рациональное приближение. Это число — ?221. Если исключить его из рассмотрения, то можно получить новое, еще более точное рациональное приближение — 13/?1517, для которого, в свою очередь, также существует «нежелательное» иррациональное число. Так мы постепенно придем к предельному значению 1/3: для любого иррационального числа а, за исключением полученного списка иррациональных чисел и эквивалентных им, существует бесконечно много дробей вида p/q таких, что
В романе и в реальности, отзвуком которой он является, переплетаются судьбы персонажей, и из тесной паутины взаимоотношений рождается свет, озаряющий тайные стороны человеческой природы.
Подобно тому, как Мартин Марко живет в страхе, опасаясь политических репрессий режима Франко, Хулиту душат нормы национально-католической морали. В то время как для Марко возможен только один выход — сдаться, Хулита и ее жених смогли найти выход из ситуации, преодолеть все препятствия и начали встречаться в доме свиданий. Села великолепно передает все моральные противоречия, с которыми сталкиваются его герои. С одной стороны, донья Виситасьон Леклерк, мать Хулиты и сестра доньи Росы, воплощает лицемерную мораль, которая была столь по душе католическим сановникам того времени. Так, донья Виситасьон из сострадания жертвует деньги на крещение «китайских младенцев», за что, предположительно, Господь дарует ей Царствие Небесное после смерти. С другой стороны, Села рисует образ отца Хулиты, дона Роке Моисеса, бездельника, который удачно женился по расчету. Несколько сцен позволяют понять, какой была национал-католическая мораль времен Франко. В одном из эпизодов Хулита и ее отец встречаются на лестнице апартаментов доньи Селии: Хулита возвращается со свидания, а ее отец идет на встречу с одной из своих любовниц.
Подобно тому, как различные грани человеческой природы в романе передаются сплетением судеб его героев, которые кажутся далекими, так и в математике на первый взгляд не связанные между собой результаты скрывают тайные истины. Именно этим свойством обладают числа Маркова и числовые константы, которые упоминаются в теореме Гурвица, по мере того как мы уточняем рациональное приближение (это золотое число, квадратный корень из 2 и последующие иррациональные числа, для которых нельзя получить более точное рациональное приближение).
Ниже приведены первые четыре числа Маркова, то есть решения диофантова уравнения р2 + q2 + r2 = 3·р·q·r, упорядоченные по возрастанию: 1, 2, 5, 13.
Далее перечислены четыре первые константы, полученные при поиске всё более точных рациональных приближений по теореме Гурвица:
1/?5, 1/?8, 5/?221, 13/?1517.
Подобно тому как жизни Мартина Марко, доньи Росы и Хулиты на страницах «Улья» оказываются неразрывно связанными, так и числа Маркова связаны с рациональными приближениями иррациональных чисел, поскольку именно они определяют различные константы, возникающие при поиске рациональных приближений по теореме Гурвица.
Обратите внимание, что два приведенных выше списка чисел в действительности ничем не отличаются. Чтобы показать это, нужен ключ, который позволит преобразовать числа из первого списка в числа второго списка. Этот ключ нашел немецкий математик Оскар Перрон в 1921 году: 
Подставим в эту формулу m = 1, первое число Маркова, и получим 1/?(9·1 – 4) = 1/?5 — константу, которая фигурирует в теореме Гурвица о рациональном приближении. Подставим в формулу m = 2, второе число Маркова, и получим 2/?(9·4 – 4) = 2/?32 = 1?8 — константу, которая фигурирует в теореме Гурвица, если исключить из рассмотрения золотое число. Если мы подставим в эту формулу m = 5 или 13, то есть третье и четвертое число Маркова соответственно, получим 5/?221 и 13/?1517 — два следующих числа, отсылающих и к теореме Гурвица. Аналогичные действия можно выполнить и для следующих чисел Маркова. С другой стороны, если m, р и q являются решениями уравнения Маркова m2 + p2 + q2 = 3·m·p·q, то исключением, которое будет препятствовать уменьшению константы m/?(9·m2 — 4) в теореме Гурвица, будет число
и все эквивалентные ему иррациональные числа.
Как видите, в стране чисел, как в большом городе, жизненные пути персонажей пересекаются. Математика больше напоминает улей, чем сухую логическую структуру.
Было бы непростительно не закончить эту главу словами Камило Хосе Селы:
«Утро мало-помалу надвигается, червем проползая по сердцам мужчин и женщин большого города, ласково стучась в только что раскрывшиеся глаза, в эти глаза, которым никогда не увидеть новых горизонтов, новых пейзажей, новых декораций… Но утро, это вечно повторяющееся утро все же не отказывает себе в удовольствии позабавиться, изменяя облик города — этой могилы, этой ярмарки удачи, этого улья…»
Более 800 000 книг и аудиокниг! 📚
Получи 2 месяца Литрес Подписки в подарок и наслаждайся неограниченным чтением
ПОЛУЧИТЬ ПОДАРОК