РЕШЕНИЯ ГОЛОВОЛОМОК 88-117

88. Можно выполнить требуемую работу, раскрыв только три звена. Для этого надо освободить звенья одного обрывка и соединить ими концы остальных четырех обрывков.

89. Чтобы решить эту задачу, нужно прежде всего припомнить из естественной истории, сколько ног у жуков и сколько у пауков: у жука 6 ног, у паука - 8.

Зная это, предположим, что в коробке были одни только жуки, числом 8 штук. Тогда всех ног было бы 6 x 8 = 48, на 6 меньше, чем указано в задаче. Заменим теперь одного жука пауком. От этого число ног увеличится на 2, потому что у паука не 6 ног, а 8.

Ясно, что если мы сделаем три таких замены, мы доведем общее число ног в коробке до требуемых 54. Но тогда из

8 жуков останется только 5, остальные будут пауки. Итак, в коробке было 5 жуков и 3 паука.

Проверим: у 5 жуков 30 ног, у 3 пауков 24 ноги, а всего 30 + 24 = 54, как и требует условие задачи.

Можно решить задачу и иначе. А именно: можно предположить, что в коробке были только пауки, 8 штук. Тогда всех ног оказалось бы 8 х 8 = 64, - на 10 больше, чем указано в условии. Заменив одного паука жуком, мы уменьшим число ног на 2. Нужно сделать 5 таких замен, чтобы свести число ног к требуемым 54. Иначе говоря, из 8 пауков надо оставить только 3, а остальных заменить жуками.

90. Если бы вместо плаща, шляпы и галош куплено было только две пары галош, то пришлось бы заплатить не 140 руб., а на столько меньше, на сколько галоши дешевле плаща со шляпой, т. е. - на 120 руб. Мы узнаем, следовательно, что две пары галош стоят 140-120 = 20 руб., отсюда стоимость одной пары - 10 руб.

Теперь стало известно, что плащ и шляпа вместе стоят 140 - 10 = 130 руб., причем плащ дороже шляпы на 90 руб. Рассуждаем, как прежде: вместо плаща со шляпой купим две шляпы. Мы заплатим не 130 руб., а меньше на 90 руб. Значит, две шляпы стоят 130 - 90 = 40 руб., откуда стоимость одной шляпы - 20 руб.

Итак, вот стоимость вещей: галоши - 10 руб., шляпа - 20 руб., плащ - 110 руб.

91. Продавец имел в виду корзину с 29 яйцами. Куриные яйца были в корзинах с обозначениями 23, 12 и 5; утиные - в корзинах с числами 14 и 6.

Проверим. Всего куриных яиц оставалось:

23 + 12 + 5 = 40.

Утиных

14 + 6 = 20.

Куриных - вдвое больше, чем утиных, как и требует условие задачи.

92. В этой задаче нечего объяснять: самолет совершает перелет в обоих направлениях в одинаковое время, потому что 80 мин = 1 ч 20 мин.

Задача рассчитана на невнимательного читателя, который может подумать, что между 1 ч 20 мин и 80 мин есть разница. Как ни странно, но людей, попадающихся на этот крючок, оказывается немало, притом среди привыкших делать расчеты их больше, чем среди малоопытных вычислителей.

Причина кроется в привычке к десятичной системе мер и денежных единиц. Видя обозначение «1 ч 20 мин» и рядом с ним - «80 мин», мы невольно оцениваем различие между ними как разницу между 1 руб. 20 коп. и 80 коп. На эту психологическую ошибку и рассчитана задача.

93. Разгадка недоумения в том, что один из отцов приходился другому сыном. Всех было не четверо, а трое: дед, сын и внук. Дед дал сыну 150 руб., а тот передал из них 100 руб. внуку (т. е. своему сыну), увеличив собственные капиталы, следовательно, всего на 50 руб.

94. Первую шашку можно поместить на любое из 64 полей доски, т. е. 64 способами. После того как первая поставлена, вторую шашку можно поместить на какое-либо из прочих 63 полей. Значит, к каждому из 64 положений первой шашки можно присоединить 63 положения второй шашки. Отсюда общее число различных положений двух шашек на доске

64 х 63 = 4032.

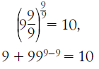
95. Наименьшее целое число, какое можно написать двумя цифрами, не 10, как думают, вероятно, иные читатели, а единица, выраженная таким образом:

Знакомые с алгеброй прибавят к этим выражениям еще ряд других обозначений:

1°, 2°, 3°, 4° и т. д. до 9°,

потому что всякое число в нулевой степени равно единице[36].

96. Надо представить единицу как сумму двух дробей:

Знающие алгебру могут дать еще и другие ответы:

123456789°; 2345679-8-1 и т. п.,

так как число в нулевой степени равно единице.

97. Два способа таковы:

Кто знает алгебру, тот может прибавить еще несколько решений, например:

99. Число 100 можно выразить пятью одинаковыми цифрами, употребив в дело единицы, тройки и - всего проще - пятерки:

100. На вопрос задачи часто отвечают: 1111. Однако можно написать число во много раз большее - именно 11 в одиннадцатой степени: 1111.

Если у вас есть терпение довести вычисление до конца (с помощью логарифмов можно выполнять такие расчеты гораздо скорее), вы убедитесь, что число это больше 280 миллиардов. Следовательно, оно превышает число 1111 в 250 миллионов раз.

101. Заданный пример деления может соответствовать четырем различным случаям, а именно:

1 337 174: 943 = 1418,

1 343 784: 949 = 1416,

1 200 474:846 = 1419,

1 202 464:848 = 1418.

102. Этот пример отвечает только одному[37] случаю деления:

7 375 428 413:125 473 = 58 781.

Обе последние, весьма нелегкие задачи были впервые опубликованы в американских изданиях: «Математическая газета», 1920 г. и «Школьный мир», 1906 г.

103. В квадратном метре тысяча тысяч квадратных миллиметров. Каждая тысяча приложенных друг к другу миллиметровых квадратиков составляет 1 м; тысяча тысяч их составляет 1000 м, т. е. 1 км: полоска вытянется на целый километр.

104. Ответ поражает неожиданностью: столб возвышался бы на… 1000 км.

Сделаем устный расчет.

В кубометре содержится кубических миллиметров тысяча х тысячу х тысячу. Каждая тысяча миллиметровых кубиков, поставленных один на другой, дадут столб в 1000 м = 1 км. А так как у нас кубиков еще в тысячу раз больше, то и составится 1000 км.

105. Из рис. 136 видно, что (вследствие равенства углов 1 и 2) линейные размеры предмета так относятся к соответствующим размерам изображения, как расстояние предмета от объекта относится к глубине камеры. В нашем случае, обозначив высоту аэроплана над землей в метрах через х, имеем пропорцию:

12000: 8 = х: 0,12,

откуда х = 180 м.

Рис. 136. Расчет высоты аэроплана

Рис. 137

Рис. 138

Рис. 139

106. Расчеты подобного рода выполняются в уме так. Надо умножить 89,4 г на миллион, т. е. на тысячу тысяч. Умножаем в два приема:

89,4 х 1000 = 89,4 кг,

потому что килограмм в тысячу раз больше грамма. Далее:

89,4 кг х 1000 = 89,4 т,

потому что тонна в тысячу раз больше килограмма. Итак, искомый вес - 89,4 т.

107. Всех путей по просекам от А до В можно насчитать 70. (Систематическое решение этой задачи возможно с помощью так называемого Паскалева треугольника, рассматриваемого в курсах алгебры.)

108. Так как сумма всех чисел, обозначенная на циферблате, равна 78, то числа каждого из шести участков должны составлять вместе 78: 6, т. е. 13. Это облегчает отыскание решения, которое показано на рис. 137.

109-110. Решения показаны на прилагаемых рис. 138 и 139.

Рис. 140

111. Трехногий стол всегда может касаться пола концами своих трех ножек, потому что через каждые три точки пространства может проходить плоскость, и притом только одна. В этом причина того, что трехногий стол не качается; как видите, она чисто геометрическая, а не физическая. Вот почему так удобно пользоваться треногами для землемерных инструментов и фотографических аппаратов. Четвертая нога не сделала бы подставку устойчивее; напротив, пришлось бы тогда всякий раз заботиться о том, чтобы подставка не качалась.

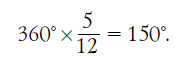
112. На вопрос задачи легко ответить, если сообразить, какое время показывают стрелки. Стрелки на левых часах (рис. 140) показывают, очевидно, 7 час. Значит, между концами этих стрелок заключена дуга в 5/12 полной окружности.

В градусной мере это составляет

Стрелки на правых часах показывают, как нетрудно сообразить, 9 ч 30 мин. Дуга между их концами содержит 3 % двенадцатых доли полной окружности, или 7/24.

В градусной мере это составляет

113. Принимая рост человека в 175 см и обозначив радиус Земли через R, имеем:

2 х 3,14 х (R + 175) - 2 х 3,14 х R = 2 х 3,14 х 175 = 1099 см,

т. е. около 11 м.

Рис. 141

Поразительно здесь то, что результат совершенно не зависит от радиуса шара и, следовательно, одинаков на исполинском Солнце и маленьком шарике.

114. Требование задачи легко удовлетворить, если расставить людей в форме шестиугольника, как показано на рис. 141.

115. На рис. 142 указаны следы сабельных ударов, а на рис. 143 видно, как надо расположить образовавшиеся 4 куска, чтобы составить второй, более характерный символ фашистской диктатуры: квадрат концентрационного лагеря.

Рис. 142

Рис. 143

Рис. 144

Рис. 145

Рис. 146

116. Читатели, слыхавшие о неразрешимости задачи квадратуры круга, сочтут, вероятно, и предлагаемую задачу неразрешимой строго геометрически. Раз нельзя превратить в равновеликий квадрат полный круг, то, думают многие, нельзя превратить в прямоугольную фигуру и луночку, составленную двумя дугами окружности. Между тем задача, безусловно, может быть решена геометрическим построением, если воспользоваться одним любопытным следствием общеизвестной Пифагоровой теоремы.

Следствие, которое я имею в виду, гласит, что сумма площадей полукругов, построенных на катетах, равна полукругу, построенному на гипотенузе (рис. 144). Перекинув большой полукруг на другую сторону (рис. 145). видим, что обе заштрихованные луночки вместе равновелики треугольнику[38].

Если треугольник взять равнобедренный, то каждая луночка в отдельности будет равновелика половине этого треугольника (рис. 146).

Рис. 147

Рис. 148. Превращение квадрата в крест

Отсюда следует, что можно геометрически точно построить равнобедренный прямоугольный треугольник, площадь которого равна площади серпа. А так как равнобедренный прямоугольный треугольник легко превращается в равновеликий квадрат (рис. 147)» то и серп наш возможно чисто геометрическим построением заменить равновеликим квадратом.

Остается только превратить этот квадрат в равновеликую фигуру Красного Креста (составленную, как известно, из 5 примкнутых друг к другу равных квадратов). Существует несколько способов выполнения такого построения; два из них показаны на рис. 148 и 149.

Оба построения начинают с того, что соединяют вершины квадрата с серединами противоположных сторон. Важное замечание: превратить в равновеликий крест можно только такую фигуру серпа, которая составлена из двух дуг окружностей: наружного полукруга и внутренней четверти окружности соответственно большего радиуса[39].

Рис. 149. Другой способ превращения квадрата в крест

Рис. 150

Итак, вот ход построения креста, равновеликого серпу. Концы А и В серпа (рис. 150) соединяют прямой: в середине О этой прямой восставляют перпендикуляр и откладывают ОС=ОА. Равнобедренный треугольник ОАС дополняют до квадрата ОАDС, который превращают в крест одним из способов, указанных на рис. 148 и 149.

117. Приводим окончание прерванного рассказа Бенедиктова:

«Задача была мудреная. Дочери, идучи на рынок, стали между собой совещаться, причем вторая и третья обращались к уму и совету старшей. Та, обдумав дело, сказала:

- Будем, сестры, продавать наши яйца не десятками, как это делалось у нас до сих пор, а семерками: семь яиц - семерик; на каждый семерик и цену положим одну, которой все и будем крепко держаться, как мать сказала. Чур, не спускать с положенной цены ни копейки! За первый семерик алтын1, согласны?

- Дешевенько, - сказала вторая.

- Ну, - возразила старшая, - зато мы поднимем цену на те яйца, которые за продажею круглых семериков в корзинах у нас останутся. Я заранее проверила, что яичных торговок, кроме нас, на рынке никого не будет. Сбивать цены некому; на оставшееся же добро, когда есть спрос, а товар на исходе, известное дело, цена возвышается. Вот мы на остальных-то яйцах и наверстаем.

- А почем будем продавать остальные? - спросила младшая.

- По 3 алтына за каждое яичко. Давай, да и только. Те, кому очень нужно, дадут.

- Дорогонько, - заметила опять средняя.

- Что ж, - подхватила старшая, - зато первые-то яйца по семерикам пойдут дешево. Одно на другое и наведет.

Согласились.

Пришли на рынок. Каждая из сестер села на своем месте отдельно и продает. Обрадовавшись дешевизне, покупщики и покупщицы бросились к младшей, у которой было полсотни яиц, и все их расхватали. Семерым она продавала по семерику и выручила 7 алтын, а одно яйцо осталось у ней в корзине. Вторая, имевшая три десятка, продала 4 покупательницам по семерику, и в корзине у ней осталось два яйца: выручила она 4 алтына. У старшей купили семерик, за который она получила один алтын; 3 яйца остались.

Вдруг явилась кухарка, посланная барыней на рынок с тем, чтобы купить непременно десяток яиц во что бы то ни стало. На короткое время к барыне в гости приехали сыновья ее, которые очень любят яичницу. Кухарка туда-сюда по рынку мечется, яйца распроданы; всего у трех торговок, пришедших на рынок, осталось только 6 яиц: у одной - одно яйцо, у другой - 2, у третьей - 3. Давайте сюда!

Разумеется, кухарка прежде всего кинулась к той, у которой осталось 3, а это была старшая дочь, продавшая за алтын свой единственный семерик. Кухарка спрашивает:

- Что хочешь за свои 3 яйца?

А та в ответ:

- По 3 алтына за яичко.

- Что ты? С ума сошла! - говорит кухарка.

А та:

- Как угодно, - говорит, - дешевле не отдам. Это последние.

Кухарка бросилась к той, у которой 2 яйца в корзине:

- Почем?

- По 3 алтына. Такая цена установлена. Все вышли.

- А твое яичишко сколько стоит? - спрашивает кухарка у младшей.

Та отвечает:

- 3 алтына.

Нечего делать. Пришлось купить по неслыханной цене.

- Давайте сюда все остальные яйца.

И кухарка дала старшей за ее 3 яйца - 9 алтын, что составляло с имевшимся у нее алтыном - 10; второй заплатила за ее пару яиц 6 алтын; с вырученными за 4 семерика 4 алтынами это составило также 10 алтын. Младшая получила от кухарки за свое остальное яичко - 3 алтына и, приложив их к 7 алтынам, вырученным за проданные прежде 7 семериков, увидела у себя в выручке тоже

10 алтын.

После этого дочери возвратились домой и, отдав своей матери каждая по 10 алтын, рассказали, как они продавали и как, соблюдая относительно цены одно общее условие, достигли того, что выручки как за один десяток, так и за три десятка, и за полсотни оказались одинаковыми.

Мать была очень довольна точным выполнением данного ею дочерям своим поручения и находчивостью своей старшей дочери, по совету которой оно выполнилось, а еще больше осталась довольна тем, что и общая выручка дочерей - 30 алтын или 90 копеек - соответствовала ее желанию».

Читателя заинтересует, быть может, что представляет собою та неопубликованная рукопись В. В. Бенедиктова, из которой заимствована сейчас приведенная задача. Труд Бенедиктова не имеет заглавия, но о характере его и о назначении подробно говорится во вступлении к сборнику.

«Арифметический расчет может быть прилагаем к разным увеселительным занятиям, играм, шуткам и т. п. Многие так называемые фокусы (подчеркнуто в рукописи) основываются на числовых соображениях, между прочим и производимые при посредстве обыкновенных игральных карт, где принимается в расчет или число самих карт, или число очков, представляемых теми или другими картами, или и то, и другое вместе. Некоторые задачи, в решение которых должны входить самые громадные числа, представляют факты любопытные и дают понятие об этих, превосходящих всякое воображение, числах. Мы вводим их в эту дополнительную часть арифметики. Некоторые вопросы для разрешения их требуют особой изворотливости ума и могут быть решаемы, хотя с первого взгляда кажутся совершенно нелепыми и противоречащими здравому смыслу, как, например, приведенная здесь между прочим задача под заглавием: «Хитрая продажа яиц». Прикладная практическая часть арифметики требует иногда не только знания теоретических правил, излагаемых в чистой арифметике, но и находчивости, приобретаемой через умственное развитие при знакомстве с различными сторонами не только дел, но и безделиц, которым поэтому дать здесь место мы сочли не излишним».

В эпоху составления сборника Бенедиктова (1869 г.) на русском языке не издано было еще ни одного сочинения подобного содержания, не только оригинального, но даже и переводного. Да и на Западе имелось только два старинных французских сочинения - Баше-де-Мезирьяка (1612 г.) и 4-томный труд Озанама (1694 г. и ряд позднейших переизданий). По планировке и отчасти по содержанию труд Бенедиктова приближается к книге Баше.

Сочинение разбито на 20 коротких ненумерованных глав, имеющих каждая особый заголовок, в стиле труда Боше-де-Мезирьяка «Занимательные и приятные задачи». Первые главы носят следующие заголовки: «Так называемые магические квадраты», «Угадывание задуманного числа от 1 до 30», «Угадывание втайне распределенных сумм», «Задуманная втайне цифра, сама по себе обнаруживающаяся», «Узнавание вычеркнутой цифры» и т. п.

Затем следует ряд карточных фокусов арифметического характера. После них - любопытная глава «Чародействующий полководец и арифметическая армия», умножение с помощью пальцев, представленное в форме анекдота; далее - перепечатанная мною выше задача с продажей яиц. Предпоследняя глава «Недостаток в пшеничных зернах для 64 клеток шахматной доски» рассказывает известную уже нашим читателям старинную легенду об изобретателе шахматной игры[40].

Наконец, 20 глава: «Громадное число живших на земном шаре обитателей» заключает любопытную попытку подсчитать общую численность земного населения (подробный разбор подсчета Бенедиктова сделан мною в книге «Занимательная алгебра»).

Более 800 000 книг и аудиокниг! 📚

Получи 2 месяца Литрес Подписки в подарок и наслаждайся неограниченным чтением

ПОЛУЧИТЬ ПОДАРОК