РЕШЕНИЯ ГОЛОВОЛОМОК 30-41

30. После того как мать взяла половину, осталась 1/2; после заимствования старшего брата осталась 1/4; после отца - 1/8; после сестры - 1/8 х 3/5 = 3/40. Если 30 см составляют 3/40 первоначальной длины, то вся длина равна 30:3/40 = 400 см, или 4 м.

31. Так как число жителей городка неизвестно, то ответ на вопрос этой полушуточной головоломки возможен лишь в такой форме, достаточно, впрочем, определенной: «Требуется столько штук сапог, сколько в городке жителей».

В самом деле. Пусть число жителей равно п. Тогда для снабжения одноногих требуется n/3 штук сапог. Из прочих 2n/з жителей нуждается в обуви только половина - 1/3; а так как каждому из этой части населения нужно по два сапога, то им требуется 2/3 штук. Всего же для городка следует заготовить

т. е. столько штук, сколько в городке жителей.

32. Позже всего выпадает, конечно, тот волос, который сегодня моложе всех, т. е. возраст которого 1 день. Посмотрим же, через сколько времени дойдет до него очередь выпасть. В первый месяц из тех 150 000 волос, которые сегодня имеются на голове, выпадет 3 тысячи, в первые два месяца - 6 тысяч, в течение первого года - 12 раз по 3 тысячи, т. е. 36 тысяч. Пройдет, следовательно, четыре года с небольшим, прежде чем наступит черед выпасть последнему волосу. Так определилась у нас средняя долговечность человеческого волоса: четыре с небольшим года.

33. Многие, не подумав, отвечают: 200 руб. Это неверно: ведь тогда основная зарплата будет больше сверхурочных только на 150 руб., а не на 200.

Задачу нужно решать так. Мы знаем, что если к сверхурочным прибавить 200 руб., то получим основную зарплату. Поэтому если к 250 руб. прибавим 200 руб., то у нас должны составиться две основные зарплаты. Но 250 + 200 = 450. Значит, двойная основная зарплата составляет 450. Отсюда одна зарплата без сверхурочных равна 225 руб., сверхурочные же составят остальное от 250 руб., т. е. 25 руб.

Проверим: зарплата, 225 руб., больше сверхурочных, т. е. 25 руб., на 200 руб., - как и требует условие задачи.

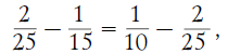
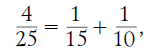
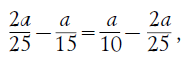
34. Эта задача любопытна в двух отношениях: во-первых, она легко может внушить мысль, что искомая скорость есть средняя между 10 км и 15 км в час, т. е. равна 121/2 км в час. Нетрудно убедиться, что такая догадка неправильна. Действительно, если длина пробега а километров, то при 15-километровой скорости лыжник будет в пути а/ 15 часов, при 10-километровой - a/10, при 121/2-километровой -, или2a/ 25. Но тогда должно существовать равенство

потому что каждая из этих разностей равна одному часу. Сократив на а, имеем

или, по свойству арифметической пропорции:

равенство неверное:

т. е. 4/24, а не 4/25.

Вторая особенность задачи та, что она может быть решена не только без помощи уравнений, но даже просто устным расчетом.

Рассуждаем так. Если бы при 15-километровой скорости лыжник находился в пути на два часа дольше (т. е. столько же, сколько при 10-километровой), то он прошел бы путь на 30 км больший, чем прошел в действительности. В один час, мы знаем, он проходит на 5 км больше; значит, он находился бы в пути 30: 5 = 6 ч. Отсюда определяется продолжительность пробега при 15-километровой скорости: 6-2 = 4 ч. Вместе с тем становится известным и проходимое расстояние:

15 х 4 = 60 км.

Теперь легко уже найти, с какой скоростью должен лыжник идти, чтобы прибыть на место ровно в полдень, - иначе говоря, чтобы употребить на пробег 5 час.

60: 5 = 12 км.

Легко убедиться испытанием, что этот ответ правилен.

35. Задачу можно решить, не обращаясь к уравнению, и притом различными способами.

Вот первый прием. Молодой рабочий проходит за 5 мин 1/4 пути, старый - 1/6 пути, т. е. меньше, чем молодой, на

Так как старый опередил молодого на 1/6 пути, то молодой настигнет его через

пятиминутных промежутка, иначе говоря, через 10 мин. Другой пример проще. На прохождение всего пути старый рабочий тратит на 10 мин больше молодого. Выйди старик на 10 мин раньше молодого, оба пришли бы на завод в одно время. Если старик вышел только на 5 мин раньше, то молодой должен нагнать его как раз посередине пути, т. е. спустя 10 мин (весь путь молодой рабочий проходит за 20 мин).

Возможны еще и другие арифметические решения.

36. Нешаблонный путь решения задачи таков. Прежде всего поставим вопрос: как должны машинистки поделить между собою работу, чтобы закончить ее одновременно? (Очевидно, что только при таком условии, т. е. при отсутствии простоя, работа будет выполнена в кратчайший срок.) Так как более опытная машинистка пишет в 11/2 раза быстрее менее опытной, то ясно, что доля первой должна быть в 11/2 раза больше доли второй - тогда обе кончат писать одновременно. Отсюда следует, что первая должна взяться переписывать 3/5 доклада, вторая - 2/5.

Собственно, задача уже почти решена. Остается только найти, за сколько времени первая машинистка выполнит свои 3/5 работы. Всю работу она может сделать, мы знаем, за 2 часа; значит, 3/5 работы будет выполнено за 2 х 3/5 = 11/ 5 часа. За такое же время должна сделать свою долю работы и вторая машинистка.

Итак, кратчайший срок, в какой может быть переписан доклад обеими машинистками, - 1 час 12 мин.

37. Если вы думаете, что шестеренка обернется три раза, то ошибаетесь: она сделает не три, а четыре оборота.

Чтобы наглядно уяснить себе, в чем тут дело, положите перед собою на гладком листе бумаги две одинаковые монеты, например два двугривенных, так, как показано на рис. 36. Придерживая рукой нижнюю монету, катите по ее ободу верхнюю. Вы заметите неожиданную вещь: когда верхняя монета обойдет нижнюю наполовину и окажется внизу, она успеет сделать уже полный оборот вокруг своей оси; это будет видно по положению цифр на монете.

Рис. 36

А обходя неподвижную монету кругом, монета наша успеет обернуться не один, а два раза. Вообще, когда тело, вертясь, движется по кругу, оно делает одним оборотом больше, чем можно насчитать непосредственно. По той же причине и наш земной шар, обходя вокруг Солнца, успевает обернуться вокруг своей оси не 365 с четвертью, а 366 с четвертью раз, если считать обороты не по отношению к Солнцу, а по отношению к звездам. Вы понимаете теперь, почему звездные сутки короче солнечных.

38. Через трижды три года загадчик будет на 9 лет старше, чем теперь. Трижды три года назад он был на 9 лет моложе, чем теперь. Разница лет, следовательно, составляет 9 + 9, т. е. 18 лет. Это и есть возраст загадчика, согласно условию задачи.

Несложно решается задача и в том случае, если, обратившись к услугам алгебры, составить уравнение. Искомое число лет обозначим буквой х. Возраст спустя три года надо тогда обозначить через х + 3, возраст три года назад - через х-3. Имеем уравнение

3(х + 3) - 3(х - 3) = х,

решив которое получаем х = 18. Любителю головоломок теперь 18 лет. Проверим: через три года ему будет 21 год; три года назад ему было 15 лет. Разность

Зх 21 - Зх 15 = 63 - 45 = 18,

т. е. равна нынешнему возрасту любителя головоломок.

39. Как и предыдущая, задача решается с помощью несложного уравнения. Если жене теперь х лет, то мужу 2х. Восемнадцать лет назад каждому из них было на 18 лет меньше: мужу 2х - 18, жене х - 18. При этом известно, что муж был тогда втрое старше жены:

3(х - 18) = 2х - 18.

Решив это уравнение, получаем х = 36: жене теперь 36 лет, мужу 72.

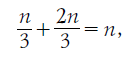
40… Пусть в начале игры у каждого было х копеек. После первого кона у одного игрока стало х+20, у другого х-20. После второго кона прежде выигравший партнер потерял 2/3 своих денег; следовательно, у него осталось

Другой партнер, имевший х - 20, получил 2/3 + 20); следовательно, у него оказалось

Так как известно, что у первого игрока оказалось вчетверо меньше денег, чем у другого, то

откуда х = 100. У каждого игрока было в начале игры по одному рублю.

41. Обозначим первоначальное число отдельных рублей через х, а число двадцатикопеечных монет через у. Тогда, отправляясь за покупками, я имел в кошельке денег

100х + 20у коп.

Возвратившись, я имел

100у + 20х коп.

Последняя сумма, мы знаем, втрое меньше первой; следовательно,

3(100у + 20х) = ЮСЬс + 20у.

Упрощая это выражение, получаем

% = 7у.

Если у = 1, то х = 7. При таком допущении у меня первоначально будет денег 7 руб. 20 коп.; это не вяжется с условием задачи («около 15 рублей»).

Испытаем у = 2, тогда х = 14. Первоначальная сумма равнялась 14 руб. 40 коп., что хорошо согласуется с условием задачи.

Допущение у = 3 дает слишком большую сумму денег:

21 руб. 60 коп.

Следовательно, единственный подходящий ответ -

14 руб. 40 коп. После покупок осталось 2 отдельных рубля и 14 двугривенных, т. е. 200 + 280 = 480 коп.; это действительно составляет треть первоначальной суммы (1440: 3 = 480).

Израсходовано же было 1440 - 480 = 960. Значит, стоимость покупок 9 руб. 60 коп.

Более 800 000 книг и аудиокниг! 📚

Получи 2 месяца Литрес Подписки в подарок и наслаждайся неограниченным чтением

ПОЛУЧИТЬ ПОДАРОК