Глава десятая ГЕОМЕТРИЯ ДОЖДЯ И СНЕГА

Принято считать Ленинград (ныне Санкт-Петербург. - Прим. ред.) очень дождливым городом - городом, гораздо более дождливым, чем, например, Москва. Однако ученые говорят другое; они утверждают, что в Москве дожди приносят за год больше воды, чем в Ленинграде. Откуда они это знают? Можно разве измерить, сколько воды приносит дождь?

I

Это кажется трудной задачей, а между тем вы можете и сами научиться производить такой учет дождя. Не думайте, что для этого понадобится собрать всю воду, которая излилась на землю дождем. Достаточно измерить только толщину того слоя воды, который образовался бы на земле, если бы выпавшая вода не растекалась и не впитывалась в почву. А это совсем не так трудно сделать. Ведь когда идет дождь, то падает он на всю местность равномерно: не бывает, чтобы на одну грядку он принес больше воды, чем на соседнюю. Стоит поэтому измерить лишь толщину слоя дождевой воды на одной какой-нибудь площадке, и мы будем знать его толщину на всей площади, политой дождем. Теперь вы, вероятно, догадались, как надо поступить, чтобы измерить толщину слоя воды, выпавшей с дождем. Нужно устроить хотя бы один небольшой участок, где бы дождевая вода не впитывалась в землю и не растекалась. Для этого годится любой открытый сосуд, например ведро. Если у вас имеется ведро с отвесными стенками (чтобы просвет его вверху и внизу был одинаков), то выставьте его в дождь на открытое место[27]. Когда дождь кончится, измерьте высоту воды, накопившейся в ведре, и вы будете иметь все, что вам требуется для подсчетов. Займемся подробнее нашим самодельным «дождемером».

Как измерить высоту уровня воды в ведре? Вставить в него измерительную линейку? Но это удобно только в том случае, когда в ведре много воды. Если же слой ее, как обычно и бывает, не толще 2-3 см или даже миллиметров, то измерить толщину водяного слоя таким способом сколько-нибудь точно, конечно, не удастся. А здесь важен каждый миллиметр, даже каждая десятая его доля.

Как же быть?

Лучше всего перелить воду в более узкий стеклянный сосуд. В таком сосуде вода будет стоять выше, а сквозь прозрачные стенки легко видеть высоту уровня. Вы понимаете, что измеренная в узком сосуде высота воды не есть толщина того водяного слоя, который нам нужно измерить. Но легко перевести одно измерение в другое. Пусть диаметр донышка узкого сосуда ровно в десять раз меньше диаметра дна нашего ведра-дождемера. Площадь донышка будет тогда меньше, чем площадь дна ведра, в 10 х 10, т. е. в 100 раз. Понятно, что вода, перелитая из ведра, должна в стеклянном сосуде стоять в 100 раз выше. Значит, если в ведре толщина слоя дождевой воды была 2 мм, то в узком сосуде та же вода установится на уровне 200 мм, т. е. 20 см.

Вы видите из этого расчета, что стеклянный сосуд по сравнению с ведром-дождемером не должен быть очень узок - иначе его пришлось бы брать чересчур высоким. Вполне достаточно, если стеклянный сосуд уже ведра раз в 5; тогда площадь его дна в 25 раз меньше площади дна ведра и уровень перелитой воды поднимется во столько же раз. Каждому миллиметру толщины водяного слоя в ведре будут отвечать 25 мм высоты воды в узком сосуде. Хорошо поэтому наклеить на наружную стенку стеклянного сосуда бумажную полоску и на ней нанести через каждые 25 мм деления, обозначив их цифрами 1, 2, 3 и т. д. Тогда, глядя на высоту воды в узком сосуде, вы без всяких пересчетов будете прямо знать толщину водяного слоя в ведре-дождемере. Если поперечник узкого сосуда меньше поперечника ведра не в 5, а, скажем, в 4 раза, то деления надо наносить на стеклянной стенке через каждые 16 мм, и т. п.

Переливать воду в узкий измерительный сосуд из ведра через край очень неудобно. Лучше пробить в стенке ведра маленькое круглое отверстие и вставить в него стеклянную трубочку с пробочкой: через нее переливать воду гораздо удобнее.

Итак, у вас имеется уже снаряжение для измерения толщины слоя дождевой воды. Конечно, ведро и самодельный измерительный сосуд не так аккуратно учитывают дождевую воду, как настоящий дождемер и настоящий измерительный стаканчик, которыми пользуются на метеорологических станциях. Все же ваши простейшие дешевые приборы помогут вам сделать много поучительных расчетов.

К этим расчетам мы сейчас и приступим.

II

Пусть имеется огород в 40 м длины и 24 м ширины. Шел дождь, и вы хотите узнать, сколько всего воды вылилось на огород. Как это рассчитать?

Начать надо, конечно, с определения толщины слоя дождевой воды: без этой цифры никаких расчетов сделать нельзя. Пусть самодельный ваш дождемер показал, что дождь налил водяной слой в 4 мм высоты. Сосчитаем, сколько куб. см воды стояло бы на каждом кв. м огорода, если бы вода не впиталась в землю. Один кв. м имеет 100 см в ширину и 100 см в длину; на нем стоит слой воды высотою в 4 мм, т. е. в 0,4 см. Значит, объем такого слоя воды равен

100 х 100 х 0,4 = 4000 куб. см.

Вы знаете, что 1 куб. см воды весит 1 г. Следовательно, на каждый кв. м огорода выпало дождевой воды 4000 г, т. е. 4 кг. Всего же в огороде кв. м:

40 х 24 = 960.

Значит, с дождем вылилось на него воды

4 х 960 = 3840 кг,

без малого 4 тонны.

Для наглядности сосчитайте еще, много ли ведер воды пришлось бы вам принести на огород, чтобы дать ему поливкой столько же воды, сколько принес дождь. В обычном ведре около 12 кг воды. Следовательно, дождь пролил ведер воды

3840: 12 = 320.

Итак, вам пришлось бы вылить на огород более 300 ведер, чтобы заменить то орошение, которое принес дождик, длившийся, быть может, каких-нибудь четверть часа.

Как выражается в числах сильный и слабый дождь? Для этого нужно определить, сколько миллиметров воды (т. е. водяного слоя) выпадает за одну минуту дождя - то, что называется «силою осадков». Если дождь был таков, что ежеминутно выпадало в среднем 2 мм, то это ливень чрезвычайной силы. Когда же моросит осенний мелкий дождичек, то 1 м воды накапливается за целый час или даже за еще больший срок.

Как видите, измерить, сколько воды выпадает с дождем, не только возможно, но даже и не очень сложно. Более того, вы могли бы, если бы захотели, определить даже, сколько приблизительно отдельных капель выпадает при дожде[28]. В самом деле, при обыкновенном дожде отдельные капли весят в среднем столько, что их идет 12 штук на грамм. Значит, на каждый кв. м. огорода выпало при том дожде, о котором раньше говорилось,

4000 х 12 = 48 000 капель.

Нетрудно далее вычислить, сколько капель дождя выпало и на весь огород. Но расчет числа капель только любопытен: пользы из него извлечь нельзя. Упомянули мы о нем для того лишь, чтобы показать, какие невероятные на первый взгляд расчеты можно выполнять, если уметь за них приняться.

III

Мы сейчас научились измерять количество воды, приносимое дождем. Как измерить воду, приносимую градом? Совершенно таким же способом. Градины попадают в ваш дождемер и там тают; образовавшуюся от града воду вы измеряете и получаете то, что вам нужно.

Иначе измеряют воду, приносимую снегом. Здесь дождемер дал бы очень неточные показания, потому что снег, попадающий в ведро, частью выдувается оттуда ветром. Но при учете снеговой воды можно обойтись и без всякого дождемера: измеряют непосредственно толщину слоя снега, покрывающего двор, огород, поле, при помощи деревянной планки (рейки). А чтобы узнать, какой толщины водяной слой получится от таяния этого снега, надо проделать опыт: наполнить ведро снегом той же рыхлости и, дав ему растаять, заметить, какой высоты получился слой воды. Таким образом вы определите, сколько миллиметров высоты водяного слоя получается из каждого сантиметра слоя снега. Зная это, вам нетрудно уже будет переводить толщину снежного слоя в толщину водяного.

Если будете ежедневно без пропусков измерять количество дождевой воды в течение теплого времени года и прибавите к этому еще воду, запасенную за зиму в виде снега, то узнаете, сколько всего воды выпадает за год в вашей местности. Это очень важный итог, измеряющий количество осадков в данном пункте. (Осадками называется вся вообще выпадающая вода, падает ли она в виде дождя, града, снега и т. п.)

Вот сколько осадков выпадает в среднем ежегодно в разных городах[29] нашего Союза:

Из перечисленных мест больше всех получает с неба воды Кутаиси (179 см), а меньше всех- Астрахань (14 см), в 13 раз меньше, чем Кутаиси.

Но на земном шаре есть места, где выпадает воды гораздо больше, чем в Кутаиси. Например, одно место в Индии буквально затопляется дождевой водой: ее выпадает там в год 1260 см, т. е. 12,5 м! Случилось раз, что здесь за одни сутки выпало больше 100 см воды.

Существуют, наоборот, и такие местности, где выпадает осадков еще гораздо меньше, чем в Астрахани: так, в одной области Южной Америки, в Чили, не набирается за целый год и 1 см осадков.

Район, где выпадает 25 см осадков в год, является засушливым. Здесь нельзя вести зернового хозяйства без искусственного орошения.

Если вы не живете ни в одном из тех городов, которые перечислены в нашей табличке, то вам придется самим взяться за измерение количества осадков в вашей местности. Терпеливо измеряя круглый год, сколько воды приносит каждый дождь или град и сколько воды запасено в снеге, вы получите представление о том, какое место по влажности занимает ваш город среди других городов Союза.

IV

Нетрудно понять, что, измерив, сколько воды выпадает ежегодно в разных местах земного шара, можно из этих цифр узнать, какой слой воды в среднем выпадает за год на всю Землю вообще.

Оказывается, что на суше (на океанах наблюдения не ведутся) среднее количество осадков за год равно 78 см. Считают, что над океаном проливается примерно столько же воды, сколько и на равный участок суши. Нетрудно вычислить, сколько воды приносится на всю нашу планету ежегодно дождем, градом, снегом и т. п. Но для этого нужно знать величину поверхности земного шара.

Если вам неоткуда получить эту величину, вы можете вычислить ее сами следующим образом.

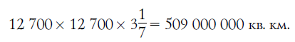
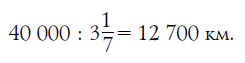
Вам известно, что метр составляет почти в точности 40-миллионную долю окружности земного шара. Другими словами, окружность Земли равна 40 000 000 м, т. е. 40 000 км. Поперечник всякого круга примерно в 3 1/ 7 раза меньше его окружности. Зная это, найдем поперечник нашей планеты:

Правило же вычисления поверхности всякого шара таково: надо умножить поперечник на самого себя и на 3 1/ 7:

(Начиная с четвертой цифры результата мы пишем нули, потому что надежны только первые его три цифры.) Итак, вся поверхность земного шара равна 509 миллионам кв. км.

Возвратимся теперь к нашей задаче. Вычислим, сколько воды выпадает на каждый кв. км земной поверхности. На 1 кв. м или на 10 000 кв. см выпадает

78 х 10 000 = 780 000 куб. см.

В квадратном километре 1000 х 1000 = 1 ООО 000 кв. м. Следовательно, на него выпадает воды:

780 000 000 000 куб. см, или 780 000 куб. м.

На всю же земную поверхность выпадает 780 000 х 509 000 000 = 397 000 000 000 000 куб. м.

Чтобы превратить это число куб. м в куб. км, нужно его разделить на 1000 х 1000 х 1000, т. е. на миллиард. Получим 397 000 куб. км.

Итак, ежегодно из атмосферы изливается на поверхность нашей планеты 400 000 куб. км воды.

Более подробно обо всем здесь рассказанном можно прочитать в книгах по метеорологии.

Более 800 000 книг и аудиокниг! 📚

Получи 2 месяца Литрес Подписки в подарок и наслаждайся неограниченным чтением

ПОЛУЧИТЬ ПОДАРОК